依据泊松定理,当二项分布的样本容量n趋近于正无穷时即为泊松分布,因此泊松分布是离散随机变量的分布形式。
泊松分布通常用来衡量一个容量很大的样本空间中,一个概率很小的事情的发生次数。例如某地区在一天内发生车祸的次数,某学校一天内的旷课人数等。
下面我们来通过图像看一看泊松分布的分布曲线是什么样的。
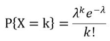
在泊松分布中, 取每个值的概率均为:

从以上的公式中,我们看到泊松分布只有一个参数λ,下面我们来看一看λ取不同值时泊松分布的形状变化。




通过以上四个图像,我们发现如下规律:
- 当λ不断增大时,泊松分布的右偏度逐渐减小,最大值逐渐减小,左右逐渐对称,分布曲线逐渐趋近于正态分布
- 无论λ的值,泊松分布的概率最大值衡在λ附近很近的位置
作者:长行