本文来自微信公众号:X-MOLNews
塑料制品因其价格低廉、携带方便、经久耐用、稳定性好,给人类生活带来了诸多便利。但是,塑料制品尤其是一次性产品由于使用量巨大,已经给环境造成了严重的环境污染,如何处理这些塑料垃圾就变成了一个棘手的问题。一种解决策略就是推广使用在环境中容易降解的高分子材料同时实现单体的回收,目前已发展的能够降解的高分子材料都是通过引入特殊的极性*能官**团(如邻二醇、内酯等)实现的(图1a),这是因为这些极性*能官**团活性高,在特定的条件下容易断裂,从而实现高分子材料的降解。虽然这些极性高分子可以被降解回收,但是它们往往需要一些特定结构的单体。另外,这些极性单体合成的高分子的物理和化学性质(如结晶度、玻璃化转变温度、容易断裂等)往往不适合于商业应用,因此限制了它们的大规模推广,与由简单烃类单体合成的高分子相比,其规模可以忽略不计。
相比之下,发展由廉价易得的石油工业原料(如乙烯、丙烯、苯乙烯、二甲苯)合成可降解塑料的新方法就显得极其重要(图1b)。在这个背景下,美国普林斯顿大学的Paul J. Chirik教授课题组报道了一种新方法,通过铁催化1,3-丁二烯的[2+2]环加成/低聚,合成了具有此前无法实现的遥爪微结构的寡聚环丁烷。所得材料热稳定性好,即使在低分子量下也具有高结晶度。更重要的是,这种铁催化剂还能催化此前所得聚合物的降解,在真空条件下将寡聚环丁烷重新转化为1,3-丁二烯单体,实现了理论上完美的聚合物降解回收利用(图1c)。相关研究近期发表在 Nature Chemistry 上。

图1. 研究背景及该文工作。图片来源: Nat. Chem.
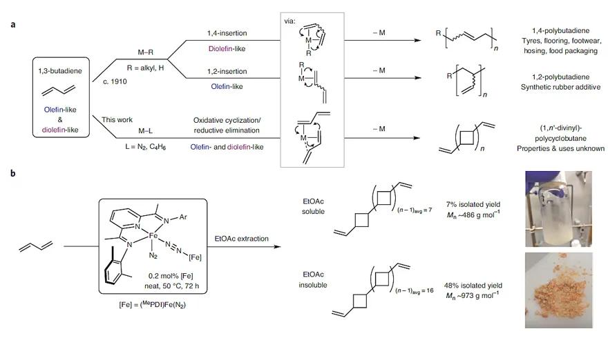
Chirik课题组长期致力于铁/吡啶亚胺配体络合物相关催化性质的探索。2015年,他们报道了利用铁配合物催化烯烃转化为环丁烷的反应( Science , 2015, 349 , 960-963, 点击阅读详细)。这些铁配合物具有很强的还原性,极易与烯烃通过氧化加成过程形成一个环状金属中间体,然后通过还原消除过程得到环丁烷产物。对于二烯/烯烃的[2+2]环加成反应,该催化过程只能转化二烯中的一个烯烃为环丁烷,那么未转化的双键就为合成高分子聚合物提供了反应位点(图2a)。在此思路引导下,作者发现把((MePDI)FeN2)2(μ-N2)前体催化剂 (MePDI= 2,6-(2,6-Me-C6H3-N = CMe)2C5H3N)溶解在液化的丁二烯单体中,并在50 ℃下反应三天后,生成了白色固体。在去除各种挥发物后,并用乙酸乙酯萃取分离得到了一种可溶于有机溶剂的半固体状产物及不溶于有机溶剂、坚硬晶体状的棕褐色粉末(图2b)。

图2. 铁催化合成聚环丁烷。图片来源: Nat. Chem.
随后,作者对可溶于有机溶剂的产物进行了1D NMR和2D NMR光谱表征。通过与已知类似聚合物的对比及密度泛函理论计算,证实了该方法得到的聚合物不同于以往由1,3-丁二烯通过1,4-加成及1,2-加成得到的聚合物(图2a上),而是得到了1位和3位由单键相连同时两端含有双键的聚环丁烷(即遥爪微结构,图2a下)。通过对氢谱的相关特征峰积分进行定量分析,发现能溶于有机溶剂的聚合物平均分子量为486 g/mol,这意味着含有8个环丁烷单元(图2b上);而不溶组分的分子量为973 g/mol,对应着17个环丁烷单元。尽管这两个聚合物的分子量太低而无法通过经典的凝胶渗透色谱法(GPC)分析,但是传统的质谱方法却非常适合。利用大气压化学电离质谱(APCI-MS)分析技术进一步证实了这些由核磁得到的质量数据。在克级规模开展该聚合反应时,得到的聚合物分子量约为580 g/mol。对照反应表明,改变反应温度会降低聚合物的分子量;向反应中加入环己烷溶剂则会完全抑制反应。
除了1,3-丁二烯,该聚合体系也适用于乙烯与1,3-丁二烯的聚合。在等量乙烯和1,3-丁二烯存在的情况下,该催化体系可以生成烯基环丁烷以及聚环丁烷产物。和仅使用1,3-丁二烯得到的聚合物不同,乙烯与1,3-丁二烯共聚得到的聚合物仅仅在一端含有一个双键。进一步的核磁表征数据揭示了生成的聚合物中含有等量的 syn -型和 anti -型的环丁烷;同时相邻的两个环丁烷有60%的概率是通过不同构型相互连接的(即 anti - syn 或 syn - anti )。密度泛函理论计算进一步证实了这些由核磁信息得到的推断。另外,对照实验表明,虽然其它铁/吡啶亚胺配体络合物也能催化该[2+2]聚合反应,但是得到的聚合物分子量和最优条件相当或者低于最优条件。通过镁原位活化二价铁催化剂前体也能得到类似的聚合环丁烷,但是聚合度稍低,同时伴随着1,4-加成的副产物。其它铁/吡啶卡宾络合物及钴/磷配体络合物虽然能催化烯烃的[2+2]环加成反应,但是并不能催化该聚合反应,这进一步说明了铁/吡啶亚胺配体络合物的独特性。
接下来,作者通过广角X-射线散射(WAXS)证实了不溶物的晶体性质。如图3a所示,当晶体从170 ℃逐渐降温到30 ℃时,其性质未发生变化。另外,热重分析表明该聚合物在413 ℃时会发生大量分解,且TGA-GC/MS分析显示挥发物中并未观察到丁二烯,这说明了逆-环加成过程在高温条件下不会发生。差示扫描量热法(DSC)分析显示,当把聚合物从-80 ℃加热到250 ℃,然后再降温到30 ℃,如此循环两次,聚合物可以被完全复原(图3b)。为了研究聚合物端位双键对其热力学性质的影响,作者通过氢化方法将双键还原为单键。DSC分析显示除了和温度相关的数据有5 ℃的偏差外,饱和与未饱和聚合物的主要性质基本维持不变。氧化耐受性测试表明不饱和聚合物更易被氧化。

图3. 聚环丁烷的热力学性质。图片来源: Nat. Chem.
利用分子动力学(MD)模拟手段,作者得到了端位含有烯烃的多聚环丁烷的模型,数据表明相邻两个环丁烷的构型为 syn / anti ,进一步证实了核磁数据的结论。从理论上的最低能量构象出发,作者模拟了聚合物可能的晶型堆积模式,结果显示该堆积模型为 P 21对称型(图4a、4b),其晶胞堆积示意图如图4c所示,并且其晶体数据与WAXS数据一致,证实了该晶型结论的可靠性(图4d)。

图4. 聚环丁烷的分子动力学模拟。图片来源: Nat. Chem.
在前期工作的基础上,作者提出了一个可能的催化循环(图5a)。图5a左边的催化循环为分子间加成生成环丁烷的过程,右边则是生成聚环丁烷的可能机理。反应的第一步是催化剂与两分子丁二烯的氧化加成关环步骤,得到中间体INT1,随后还原消除得到中间体INT2,后者与另一分子丁二烯反应得到中间体AD2,然后重复上述过程得到中间体INT3和INT4,最终得到聚环丁烷。对于上述过程,作者通过理论模拟计算发现该聚合过程在热力学上原料和产物的能量几乎无变化(即AD1与INT4能量类似,图5b)。

图5. 聚环丁烷的合成机理。图片来源: Nat. Chem.
正如前面所介绍的,如何实现聚合物的降解是当今高分子领域的一个重要问题。鉴于反应原料和产物的热力学能量相近,因此作者考察了该催化体系的逆过程,即在相同催化剂作用下将聚环丁烷转化为原料丁二烯的过程。首先,作者评估了烯基环丁烷的可逆开环反应(图6a)。利用铁/吡啶亚胺催化剂,在50 ℃和真空条件下反应6天,烯基环丁烷以高转化率生成了1,3-丁二烯(94%)和乙烯(75%)。类似的,对于烯基-二聚环丁烷,在相同条件下,解离产物1,3-丁二烯和乙烯也能以高产率(分别为99%和57%)被回收(图6b)。最后,作者尝试了五聚环丁烷的分解,虽然反应能进行,但是只生成了34%的1,3-丁二烯(图6c)。当解离含有10个环丁烷单元的聚合物时,1,3-丁二烯的回收率只有5%。也就是说,当增加环丁烷的聚合度时,催化剂的降解效率会逐渐降低。作者推测这可能是由于降解反应中生成的1,3-丁二烯对催化体系有抑制作用。这些限制也说明了该催化体系离实际应用还有一定距离。

图6. 环丁烷的降解利用。图片来源: Nat. Chem.
总结
Paul J. Chirik教授课题组报道了铁/吡啶亚胺配体络合物催化的1,3-丁二烯的[2+2]环加成/低聚反应。与先前的聚合反应相比,该反应首次观察到了具有遥爪微结构的寡聚环丁烷的生成。更重要的是,作者证实了该催化体系同时还能催化寡聚环丁烷的降解过程,但是该过程目前仅适用于聚合度较低的聚合物。考虑到该聚合反应利用廉价易得的1,3-丁二烯为单体及铁为催化剂,得到的聚合物具有很好的晶型及热稳定性,再加上生成的聚合物可以实现降解回收,这一策略过程有希望在可回收高分子领域中产生重大影响。
Iron-catalysed synthesis and chemical recycling of telechelic 1,3-enchained oligocyclobutanes
Megan Mohadjer Beromi, C. Rose Kennedy, Jarod M. Younker, Alex E. Carpenter, Sarah J. Mattler, Joseph A. Throckmorton, Paul J. Chirik
Nat. Chem ., 2021, DOI: 10.1038/s41557-020-00614-w
(本文由波纹供稿)