
小升初数学综合模拟试卷8
一、填空题:

2.用1,2,3,4,5,6,7这七个数字组成三个两位数,一个一位数,并且使这四个数的和等于100,如果要求最小的两位数尽可能小,那么其中最大的两位数是______.
3.小红和小明参加一个联欢会,在联欢会中,小红看到不戴眼镜的同

联欢会的共有_______名同学.
4.一次数学测验,六(1)班全班平均90分,男生平均88.5分,女生平均92分,这个班女生有18人,男生有______人.
5.如图,M、N分别为平行四边形相邻两边的中点,若平行四边形面


6.一个六位数□1997□能被33整除,这样的数是______.
7.有红、黄、绿三块大小一样的正方形纸片,放在一个正方形盒内,它们之间互相叠合,如图所示,已知露在外的部分中,红色面积是20,黄色面积是14,绿色面积是10,那么正方形盒子的面积是_______.

8.有200多枚棋子摆成了一个n行n列的正方形,甲先从中取走10枚,乙再从中取走10枚,……,这样轮流取下去,直到取完为止.结果最后一枚被乙取走.乙共取走了______枚棋子.
9.一艘油轮的船长已经50多岁,船上有30多名工作人员,其中男性占多数.如果将船长的年龄、男工作人员的人数和女工作人员的人数相乘,则积为15606,船上共有______名工作人员,船长的年龄是______岁.
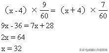
10.小明放学后沿某路公共汽车路线,以每小时4千米的速度步行回家.沿途该路公共汽车每隔9分就有一辆从后面超过他,每7分又遇到迎面开来的一辆车.如果这路公共汽车按相同的时间间隔以同一速度不停地运行,那么汽车每隔______分发一辆车.
二、解答题:
1.计算:

2.有一种用六位数表示日期的方法,如用911206表示91年12月6日,也就是用前两位表示年,中间两位表示月,后两位表示日.如果用这种方法表示1997年的日期,全年中六个数字都不相同的日期共有多少天?
3.少年歌手大奖赛的裁判小组由若干人组成,每名裁判员给歌手的最高分不超过10分.第一名歌手演唱后的得分情况是:全体裁判员所给分数的平均分是9.64分;如果只去掉一个最高分,则其余裁判员所给分数的平均分是9.60分;如果只去掉一个最低分,则其余裁判员所给分数的平均分是9.68分.求所有裁判员所给分数中的最低分最少可以是多少分?这时大奖赛的裁判员共有多少名?
4.A、B、C三名同学参加了一次标准化考试,试题共10道,都是正误题,每道题10分,满分为100分.正确的画"√",错误的画"×".他们的答卷如下表:

答案
一、填空题:
1.10

2.47
要使最小的两位数尽可能小,最好十位是1,个位是2,此时四个数的个位之和应等于20,可找到这样的四个数2、5、6、7.在余下的数3、4中取4,可组成最大的两位数47.
3.16

如果小红和小明都戴眼镜或都不戴眼镜,那么他们看到的戴眼镜的比例应当相同,由于小明看到的戴眼镜的比例高,所以小红戴眼镜,小明不戴眼镜,因此总人数为

4.24
(92-90)×18÷(90-88.5)=24(人)
5.6

六个.
6.919974,619971,219978

a+b+1+9+9+7
=a+b+26
是3的倍数,因此a+b=1,4,7,10,13,16.
(a+9+7)-(1+9+b)=a-b+6
是11的倍数,因此a-b=5或b-a=6.
因为a、b是整数,所以a+b与a-b同奇同偶,经试验,可找到以下三组解:

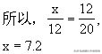
7.51.2
作辅助线,在黄色纸片中截出面积为a的部分,如图所示.

所以14-a=10+a
a=2
设空白部分面积为x,将上图转化为


正方形盒子的面积为
12+20+12+7.2=51.2
8.126
因为棋子数是200多,且是一个平方数,所以行数n可能是15,16,17.
若n=15,15×15=225,即共有225枚棋子.由于是甲先取10枚,乙再取10枚,因此第225枚棋子被甲取走,不合题意.
若n=16,16×16=256,即共有256枚棋子,根据规则可知,第256枚被乙取走.
若n=17,17×17=289,即共有289枚棋子.根据规则可知,第289枚被甲取走,不合题意.
所以满足条件的棋子数是256枚,乙共取走260÷2-4=126(枚)
9.35,51
因为15606=2×3×3×3×17×17,且船长
是50多岁,所以有2×3×3×3=54和3×17=
51两种情况.若船长54岁,则男女工作人员各
17名,不合题意,所以船长只能是51岁.
此时男女工作人员的乘积为2×3×3×17,
男女工作人员的人数分配有下面五种:(153,2),(102,3)(51,60),(34,9),(18,17).根据工作人员共有30多名和男多女少的条件可知,
男有18人,女有17名满足.所以工作人员共有
35名.

因为无论是迎面来的车,还是后面追来的车,两车之间的距离总是一样的.所以设车速为x,有

两车之间的距离为

发车的时间间隔为

二、解答题:
1.0

原式=a(b-c)+b(c-a)+c(a-b)
=ab-ac+bc-ba+ca-cb
=0
2.73天
分类按月计算
1月、2月、10月分别有5天;
3月、4月、6月分别有10天;
5月、8月分别有11天;
12月有6天;
7月、9月没有.
5×3+10×3+11×2+6=73
3.9.28分.10名
设裁判员有x名,那么
(1)总分为9.64x;
(2)去掉最高分后的总分为9.60(x-1),由此可知最高分为:
9.64x-9.60(x-1)=0.04x+9.6
(3)去掉最低分后的总分为9.68(x-1),由此可知最低分为:
9.64x-9.68(x-1)=9.68-0.04x
因为最高分不超过10,所以0.04x+9.6不超过10,也就是0.04x不超过0.4,由此可知x不超过10.当x取10时,最低分有最小值,是
9.68-0.04×10=9.28(分)
所以最低分是9.28分,裁判员有10名
4.1至10题的正确答案是×、×、√、√、√、√、√、×、√、×
观察A与B的答案可知,A、B有4道题答案相同,6道题答案不同.因为每人都是70分,所以4道答案相同的题都答对了,6道答案不同的题各对了3道.由此可知第1、3、4、10题的答案分别是×、√、√、×.
同理,B、C有4题答案相同,根据每人都是70分,所以4道答案相同的题都答对了,即第2、3、5、7题的答案分别是×、√、√、√.
同理,A、C也有4题答案相同,这4道题都答对了,即第3、6、8、9题的答案分别是√、√、×、√.
由此可知,1至10题的答案分别是×、×、√、√、√、√、√、×、√、×.