
如何才能愉快的
泡温泉
在这个寒冷的冬天,新的一年,超模君带着小天一干人等,一起出门去团建啦。
我们吃豪华大餐 ↓

我们泡超级大温泉 ↓

而作为一个优秀的数学团队,团建活动怎么少得了数学题,感受知识的力量呢?于是乎问题就来啦。
超模君:你说这泡温泉的池水有多深?
大伙:测测就知道啦
超模君:那么已知已有以下道具,到底要怎么测呢?


让棍子直立水面,用泳衣绳子做标记,然后和可以和已知长度为21cm的水瓶做对比。
最终结果为:



小菁:超模君,你往水里走。

已知:水恰好没过超模君的臀部差不多一半,超模君身高185cm,身材五五分,那么水深也就是 92.5 cm 。

汪:以前钓鱼的人是怎么测的一个不太深的鱼塘吗?他们会先看旁边的鱼塘标志是否有说明水深。

(这里没有...)
假如没有的话,他们会先往水里放一个穿着漂浮物的固定物,固定一个位置,然后通过该放松绳子让漂浮物上浮起,放松的绳子长度就是水池的深度。

(灵魂示意图)
这里我们给绳子拴上一个蛋蛋,当做固定物,另外一端绑上可以漂浮水面的拖鞋。


实际操作结果示意图
最后,我们通过同样水瓶的方式测得这条绳子长94.5cm


小天:超模君,你把刚刚的棍子拿过来,前面的方法都有点不准,我有办法直接测。



手机测得 98 cm。

高中我们学过物理,其中就有类似的题目
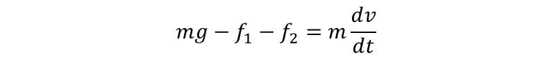
已知8颗鸡蛋一斤,那么一颗球(鸡蛋)大约重量为 0.062 kg ,体积为 5.6e-05 立方米40摄氏度的水的密度为 992 千克每立方米,让鸡蛋在温泉中做自由落体运动。通过 4 次实验,测得从接触水面到温泉底部所需平均时间为 4.76 s。求:水深是多少?


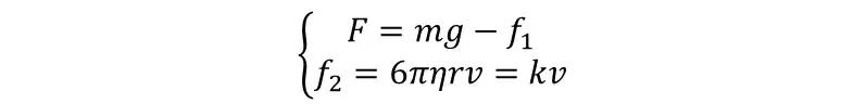
在这个过程中,要考虑三个力作用:重力 G=mg 、浮力 f1=ρgV 、粘滞阻力 f2=6πηrv。其中:
η液体的粘泄系数,与物体的种类与温度有关(通过查表得知40摄氏度为 0.6560 )。r、v分别为鸡蛋的半径与速度。假设鸡蛋为球,根据体积求得r = 0.0228m

(受力分析图)
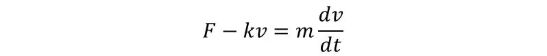
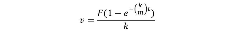
在三力作用下,随小球速度增大,很快就会达到平衡,即这是一段先加速后匀速的运动。小球的沉降过程,由牛顿第二定律得

为简便运算,令:

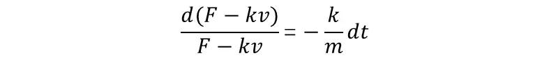
则化简得:

解可分离变量的微分方程:

分离变量:

两边积分:

考虑初始条件t=0,v(0) = 0,得:

带入求解得:

即水深为:

求解方程得:

画出v-t图象,从图形看出来,确实是先加速后减速的过程。

方法得解!

真是一次愉快的团建!
