近几年出题频率较高的三类数列求和题型有:错位相减法、裂项相消法、分类讨论法等。下面将它们的解题程序归纳如下:
1.错位相减法求和
一般地,如果数列{an}是等差数列,{bn}是等比数列,求数列{an·bn}的前n项和时,可采用错位相减法求和,一般是在等式的两边同乘以等比数列{bn}的公比,然后作差求解.若{bn}的公比为参数(字母),则应对公比分等于1和不等于1两种情况分别求和.
例题:



2.利用裂项相消法探求数列的前n项和
如果一个数列的通项为分式或根式的形式,且能拆成结构相同的两式之差,那么通过累加将一些正、负项相互抵消,只剩下有限的几项。从而求出该数列的前n项和.
破解此类题的关键点如下:①裂项技巧.一般将an通过恒等变形拆成形如an=f(n)-f(n-k)的形式(k=1,2,……) ②抵消规律.正、负项相互抵消后,所剩项的一般规律是:前边剩几项,后边就剩几项,前边剩第几项,后边就剩倒数第几项,注意剩下的项有前后对称的特点,否则,极易出错.
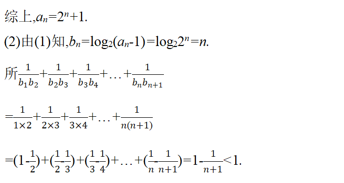
例题:[2018长春市高三第一次质量监测,17]


总结:利用裂项相消法求数列的和时,要过好三关:一是通过基本运算快速求出数列的通项;二是根据所求通项的结构特点,借助常见的裂项技巧,找准裂项方向,准确裂项;三是把握消项规律,准确求和,切忌出现丢项或多项的问题,导致结果错误.

3.利用分类讨论法探求数列的前n项和
若数列的通项公式为分段函数、周期函数或形如(-1)^nan,|an|等形式,在求数列的前n项和时,没有固定的方法可套用,观察数列的规律,发现按照某种标准分类后,每类均可求和,最后相加即可得出结果,在解决问题的过程中渗透着转化与化归、分类讨论数学思想方法。
对项数的奇偶进行分类讨论求数列的前n项和时,一般是先求项思路分析:数为偶数的一组,但要注意n的取值变化不再是1,2,3,…,而是2,4,6,…,当代入公式求和时.注意首项、公差(比)和项数都会对应发生改变;项数为奇数求和时,可代入相应公式求和,也可利用偶数项的结论(Sn=S↓(n-1)+bn),能简化求和过程.



总结:破解此类题的关键点如下.
①找规律.根据数列的通项公式或递推公式去发现或证明存在某一规律:如通项公式为分段函数的形式等.
②定标准.根据规律确定如何分类,是以项数的奇偶分类还是其他.
③分类求和.若该类是等差(比)数列可直接求和,但要注意新首项、新公差(比)、新项数分别是多少;若不是特殊数列,再转化为其他方法求和.