在文档中编辑公式需要借助专业的公式编辑器来编辑,这种编辑公式的工具大多数人都选择使用MathType公式编辑器,它是目前市面上最好用的专门用来编辑公式编辑的工具。
这里提供一个MathType 6.7序列号—破解版—注册码的获取地址:http://www.mathtype.cn/xiazai.html
目前MathType已经更新到6.9b,与6.9的版本相比,6.7的版本已经有些低了,在很多方面有些不太兼容,使用时会出现一些问题,所以还是建议大家使用最新的6.9b版。
最新版本的6.9b修复了以前低版本的一些兼容性错误,提高了兼容性能。同时紧随微软的脚步,能够与最新的Office 2016兼容使用,这也极大地满足了用户们在Office中使用MathType的需要。

MathType能够与Office等办公软件完美兼容使用,比如Word、PPT、Excel等都没有问题,除此之外,它也能与mac系统中的Pages 、iBook等办公软件兼容使用。
MathType被大量应用在理工科类的期刊排版中,科技、数学期刊排版时经常使用 MathType公式编辑器作为Word文档的辅助工具,可编辑文档中的所有公式。掌握MathType公式编辑器的使用方法,有利于加快排版速度。
MathType叠式排版的基本规则是:分式中间的分线,应比这个公式中最长的分子或分母两端长出一定长度。分排在分线上下的分子、分母,也应排在分线的左右居中位置。排叠式时应由左向右,从上到下,依次排。
1.一般的双重叠式,如:

这个叠式除分线比上面的分子和下面的分母两端各长出一定长度外,字母C与分线间也应适当空开,不可排成:

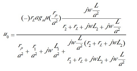
2.三重以上的叠式,如:

多层叠式排版时分式的主线,不仅要比它们上面和下面次一层的分线两端长出一定长度,而且必须与主体符号(“=”)对齐。
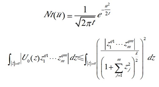
3.复杂重叠数式
复杂重叠数式是指有根号的叠式、积分号上下限的叠式、上角指数加分数线的叠式等。如:

MathType 6.9的版本比6.7的版本应用起来要更加方便一些,功能也更加完善,建议在使用时更新到最新的版本。