


导言:1956年,科学家 John Kelly 发表了篇论文,论文中包括了后来被广泛流传的“凯利公式”,很快“凯利公式”就被了解博弈论的人应用到了赌博和投资资金管理上去,其中就有用电脑辅助做量化投资的先驱Ed Thorp。Ed Thorp 把利用电脑进行量化投资的模式应用到了金融市场上,他成立了一个对冲基金,在28年里的平均回报率是每年20%。因此,凯利公式成为了真实的财富公式。今天,扑克就来给你八一八这个财富公式。
本文来自量子学派,节选自《人类最美的54个公式》,作者:李韵格。如需转载,请联系原作者。更多精彩内容,请*载下**扑克财经App(iOS及安卓版本均可*载下**)。

赌徒迷信的是运气 ,*场赌**相信的是数学
赌王何鸿燊接手葡京*场赌**时,业务蒸蒸日上,但理性的赌王仍然忐忑,请教“赌神”叶汉:“如果这些赌客总是输,长此以往,他们不来了怎么办?”叶汉笑道:“一次赌徒,一世赌徒,他们担心的是*场赌**不在怎么办。”
叶汉说的只是心理层面,现代*场赌**程序方面的设计,比叶汉当年要缜密得多,*场赌**集中了概率、级数、极限方面的数学经验。一个普通赌徒,只要长久赌下去,最终一定会血本无归,所谓的各种致胜绝技,除了电影里的周星星,现实里的周星驰都不信。
赌徒永远不明白,与自己对赌的不是运气,也不是*家庄**,他们是在与狄利克雷、伯努利、高斯、纳什、凯利这样的大师对决数学,赢的胜率能有多大?

1、看得到的是概率,看不见的是陷阱
我们先说一个最简单的赌博游戏:赌运气猜硬币。
规则是这样的,掷硬币,正面赢反面输,赢了可以拿走一倍的钱,输了会赔掉本金,你玩不玩?你可能觉得,唉,这游戏不错,公平!恰好运气也不错,第一把赢了100元!你高兴坏了,这时候*家庄**跟你说,你看你也赢了这么多,我呢,辛辛苦苦搭个场子,最后什么都没捞着,要不这样,你赢了,就给我留下2%,就算是救济救济老哥,给捧捧场!你一听,2%,才这么点,拿去吧,不差钱!好了,这事就这么定下来了。
然而你做梦都想不到的是:就是这小小的2%,最后却让你输得倾家荡产、家破人亡。
这小小的2个点的赢的概率貌似不起眼,但配上“大数法则”,就成为了*场赌**赚钱的利器!“大数法则”是数学家伯努利提出来的,说的是假设n(a)是n次独立重复实验中发生a的次数,p是每次实验发生a的概率,当n足够大的时候,对任意正数ε,有lim{[|(n(a)/n)| p]<ε}=1,公式这么复杂,99%的赌徒都看不懂,看不懂没关系,我们只看结果,最终*家庄**赢到的钱=0.02*a。
*家庄**赚的钱最终只跟玩家下注大小有关!这也就是我们常说的“流水”,只要玩家不停地玩,*家庄**就会不停地赚!而不管玩家是输是赢,*家庄**始终是赢的!为什么*场赌**有“最小投注额”,因为扩大“流水”才能将利润最大化!
所以别以为自己有多聪明,你要庆幸自己玩得不够久而已,十赌九输正源于此。
2、只要进了*场赌**,你就是一个穷鬼
我们再进一步,就算双方的概率均等,你仍然是一个输家,这里涉及到“无限财富”和“赌徒输光定律”,这个定理在现实生活中有许多应用,如“姓氏消亡”“线粒体夏娃假说”,在概率均等的情况下,谁的资本大,谁的赢率高。
你和我对赌,你我各有5块钱,输光为止。那么你赢的概率是50%,输的概率也是50%。
你和我对赌,你有5块钱,我有10块钱,输光为止,那么你赢的概率就只有33.3%,而输的概率有66.7%(这里涉及到高斯的概率论和泰勒的级数论),后面隐藏的就是*场赌**大BOSS凯利公式,后面小节里将详加表述。
对于小散户,*场赌**一般可以认为财富是无限多的,你赢不垮它,它却能吃了你。在*场赌**老板的眼里,世界只有两种人:一种现在是穷鬼,一种未来是穷鬼。
“无限财富定律”也解释了*场赌**设置最大投注额原因。不是老板好心保护赌徒免遭破产,只是老板为了保护自己设置的安全屏障,想象下万一哪天比尔盖茨去*场赌**找乐子,一次性砸个几百亿进去,那*场赌**老板真的要哭了,虽然这种事情不太可能发生,但也不能不防,所以*场赌**根据自己的财富能力设计最高投注额,也就是为了抵抗“无限财富定理”!

3、*场赌**大BOSS凯利公式:先告诉你怎么下注
凯利公式在高级赌徒的世界里大名鼎鼎,那什么是凯利公式,我们先看一个例子:
有一个简单2赔1的赌局,扔硬币下注,硬币为正面则得2元,如果为反面则输掉1元,你的总资产为100元,每一次的押注都可投入任意金额。
你会怎么赌呢?
如果你是冒险主义者,你可能会想,要玩就玩票大的,一次性把100元全压上,幸运的话,一次正面就可以获得200元,又是一段值得炫耀的赌史;可是,如果输了得把100元资产拱手献给对方,你就一无所有,好不容易来趟拉斯维加斯,这肯定不是明策。
如果你是保守主义者,你可以会想,谨慎点,百分之一慢慢来。你每次只下注1元,正面赢2元,反面输1元。玩了20把突然觉得,对方下注10元一次就赢得20元,自己一次才赢2元、10次才能赢得20元,后悔已经错过几个亿!
100太多1块太少,该投入多少比例下注?普通赌徒看似无解,但凯利公式告诉你答案是25%!
让我们来看看凯利公式的庐山真面目:
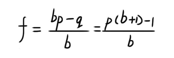
f* =(bp-q)/ b
在公式中,各参数意义为:
f* = 应投注的资本比值
p = 获胜的概率(也就是抛硬币正面的概率)
q = 失败的概率,即1 - p(也就是硬币反面的概率)
b = *率赔**,等于期望盈利 ÷可能亏损(也就是盈亏比)
公式上面的分子bp-q代表“赢面”,数学中叫“期望值”。
什么才是不多不少的合适赌注呢?凯利告诉我们要通过选择最佳投注比例,才能长期获得最高盈利。回到前面提到的例子中,硬币抛出正反面的概率都是50%,所以p、q获胜失败的概率都为0.5,而*率赔**=期望盈利÷可能亏损=2元盈利÷1元亏损,*率赔**就是2,我们要求的答案是f,也就是(bp - q) ÷ b = (2 * 50% - 50%) ÷ 2 = 25%。
拿出资金的25%来进行下注,才能使赌局收益最大化。
*场赌**操盘者的每一次下注的时候,都会谨记数学原则,而作为普通赌徒,除了心中默念“菩萨保佑”外,哪里知道这后面的数理知识。
所以,就算你赢得了财神爷的支持,但你也永远赢不了“凯利公式”。

4、除了100%赢,任何时候都不应下注
所有的*场赌**游戏,几乎都是对赌徒不公平的游戏。
但这种不公平并非是*家庄**出老千,现代*场赌**光明正大地依靠数学规则赚取利润,从某种意义上来讲,*场赌**是最透明公开的场所,如果不是这样,进出*场赌**不知有多少狂命之徒,何鸿燊早怕九条命都不够。
凯利公式不是凭空设想出来的,这个数学模型已经在华尔街得到验证,除了在*场赌**被奉为正神,也被称为“资金管理神器”,是比尔格罗斯等投资大佬的心头之爱,巴菲特依靠这个公式也赚了不少银子。回归到*场赌**讨论这个公式,根据f = (bp-q) / b公式结论,期望值(bp-q)为负时,赌徒不具备任何优势,也不应下任何赌注。这种赌博游戏,要下负赌注,也就是说你不如自己开个*场赌**当*家庄**。
的确,世界上有为数不多的“赌神”,他们当中有信息论的发明者香农,数学家爱德华·索普,路径理论的创始人蒙特卡罗等,他们通过一系列复杂的计算和艰深的数学理论,把某些赌戏的赢率扳回到50%以上,例如21点靠强大的心算能力可以把概率拉上去。但就凭你读书时上课打瞌睡输了只知道倍投翻本的可怜知识,以及九九乘法表的那点算力,还是先老实读完以下3条准则。
1、期望值(bp-q)为0时,赌局为公平游戏,这时不应下任何赌注。
2、期望值(bp-q)为负时,赌徒不具备任何优势,也不应下任何赌注。
3、期望值(bp-q)为正时,这时按照凯利公式投注赚钱最快,风险最小。
其实最终结论只有一个:除了100%赢,任何时候都不应下全部赌注,即使赢的概率高达99.9%。

5、结语
赢得胜利的唯一法则:不赌
没有谁能说服一个堕落的赌徒,因为这是人格的缺陷。
但如果你还是一个具有理性精神的人,别再迷恋所谓的运气。
赌徒能够依靠的是祖宗保佑,而*场赌**后面的大佬是高斯、凯利、伯努利这样的大神。
你怎么可能赢得了*家庄**?
论理性,没有人能比*场赌**老板更理性。
论数学,没有人能比*场赌**老板请的专家更精通数学。
论赌本,没有人能比*场赌**老板的本钱更多。
如果你想真正赢得这场赌局,法则只有一个:不赌。