
EMC的重要性
早在上个世纪八十年代初,美国新泽西州一家医院产科病房区的婴儿死亡率相当高。深夜,监视婴儿的监视器上的警示灯总是无缘无故地熄灭。对此,护士们很恼火,于是她们将监视器关闭,来回逐一巡视。
经过一番初步调查后,教授查明了这件事情的真相,原来附近一电视台的发射机得到美国通信委员会的许可,在大约午夜后可将其输出功率提高得相当高,但必须在早上六点前,或其它指定的时间,恢复到原来的水平。护士站与每个婴儿的监视器间的连接电缆在这些干扰频率处发生谐振,感应的电压而使监视器警示灯熄灭。医院在发现这个问题之前,已有差不多六名小孩死亡。
再有一个例子:有这样的一个客户投诉反应,当在机房内开启一台开关电源时,该公司的100M速度的局域网出现速度下降并停止的现象,而10M速度的网络却没有受影响。关掉电源,网络恢复正常。
后经实验发现,该开关电源的高频干扰信号藕合到网络线上,使网络出现故障。
EMC 发展的历史:EMC 其实是伴随着近代电子产业的飞速发展而诞生的。到上个世纪末,随着电子、电气设备的急剧增加。EMC 已经扩展到众多的领域,可以毫不夸张的说:哪里有电子产品,哪里就有EMC问题。西方国家对此的要求也越来越苛刻,EMC 已成为发展中国家电子产品进入西方市场的贸易壁垒之一。
对企业来讲,不同的EMC设计概念,会导致不同的成本和时间上的浪费。

EMC的内容
●基本概念:
★EMC(电磁兼容性):Electromagnetic Compatibility
★EMI(电磁干扰):Electromagnetic Interference
★EMS(电磁抗扰性):Electromagnetic Susceptibility
★ESD(静电):Electrostatic Discharges
★RS(辐射抗干扰):Radiated Susceptibility
★EFT(电快速瞬变脉冲群): Electronic fast transients
★SURGE(雷击浪涌)
★CS(传导抗干扰):Conducted Susceptibility

●EMC =EMI +EMS
★EMI = Conduction( Harmonic) +Radiation
★EMI 三要素:下为系统级的,请大家想想PCB级的。

开关电源 EMI 探讨
●EMI 产生的根源:
★第一、开关电源的最大缺点是因切换动作(TURN-ON或TURN OFF)产生杂讯电压为其杂讯源。因切换动作的波形为方波,而方波含有很多高次谐波。( dv/dt)
★第二、由于开关电晶体的非线性及二极体的反向恢复特性,电流作快速的非线性变化引起杂讯。 (di/dt)

●EMI的传播方式和途径:
★EMI干扰信号按其特性可分为共模信号(COMMON MODE)和差模信号(DIFFERENTIAL MODE)。
★共模信号:干扰信号电流的在两条回路的导线上的电流方向相对大地是相同的信号,称为共模信号,见下左图;
★差模信号:干扰信号电流的在两条回路的导线上的电流方向相对大地是相反的信号,称为差模信号,见下右图。

●常用低通滤波结构的划分

●电源输入滤波器的设计:
★共模差模分开设计(以π型为例)

★滤波器共模部分设计

★滤波器差模部分设计

●滤波器的安装:


●共模电感的绕制

共模扼流圈中的负载电流产生的磁场相互抵销,因此磁芯不会饱和。
●磁珠阻抗

注意:共模电感和磁珠 需要测量温升!!
拓扑EMI 分析举例

Flyback 架构EMI 分析
●Flyback架构的高频等效模型


●Noise 源:
大的di/dt和dv/dt 产生的地方,对Flyback架构来说,会产生这些变化的主要有:
★变压器TX1;
★MOSFET Q1 ;
★输出二极管D1;
★芯片的RC振荡;
★驱动信号线;

Q1 上 Vds 的波形
MOSFET 动作时产生的Noise :如 上图所示,主要来自三个方面:
①Mosfet开通、关断时,具有很宽的频谱含量,开关频率的谐波本身就是较强的干扰源。
②关断时的振荡 1产生较强的干扰。
③关断时的振荡 2产生较强的干扰。
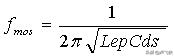
开关管 Q1关断,副边二极管D1导通时(带载),原边的励磁电感被钳制,原边漏感Lep的能量通过Q1的寄生电容Cds进行放电,主放电回路为Lep—Cds—Rs—C1—Lep,此时产生振荡振荡的频率为:

在Lep上的振荡电压Vlep迭加在2Vc1上,致使Vds=2Vc1+Vlep 。振荡的强弱,将决定我们选取的管子的耐压值、电路的稳定性。
量测Lep=6.1uH, Q1为2611查规格书可得Coss=190pF(Coss近似等于Cds),而此充电板为两个管子并联,所以Cds=380pF 。由上式可求得f =3.3 MHz,和下图中的振荡频率吻合。

从图中可看出 此振荡是一衰减的振荡波,其初始的振荡峰值决定于振荡电路的Q值:Q值越大,峰值就越大。Q值小,则峰值小。为了减小峰值,可减小变压器的漏感Lep,加大Cds和电路的阻抗R。而加入Snubber电路是 极有效之方法。

振荡2发生在Mosfet Q1关断,副边二极管由通转向关断,原边励磁电感被释放(这时Cds被充至2Vc1),Cds和原边线圈的杂散电容Clp为并联状态,再和原边电感Lp(励磁电感和漏感之和)发生振荡。放电回路同振荡1。振荡频率为:

在Lp上的振荡电压Vlp迭加在Vc1上,致使Vds=Vc1+Vlp 。量测Lp=0.4mH;Q1为2611,查规格书可得Coss=190pF(Coss近似等于Cds),而此充电板为两个管子并联,所以Cds=380pF;Clp在200KHz时测得为Clp=1.6nF。由上式可求得:f =178.6KHz,和下图中190.5K吻合。

●我们可实行的改善措施有两个:
★1、减小Noise的大小;
★2、切断或改善传播途径。
1.减小Noise 的大小:
首先考虑以下三个方面:
①Mosfet、Diode动作时,具有很宽的频谱含量,开关频率的谐波本身就是较强的干扰源。
措施:在满足所要求的效率、温升条件下,我们可尽量选开关较平缓的管子。而通过调节驱动电阻也可达到这一目的。

②Q1、D1 的振荡 1会产生较强的干扰。
措施:
*对寄生电容Cds、Cj 的处理:在Q1的ds极、二极管的两端各并上一681小电容,来降低电路的Q 值,从而降低振荡的振幅A,同时能降低振荡频率f。需注意的是:此电容的能量1/2Cu2将全部消耗在Q1上,所以管子温升是个问题。解决的办法是使用RC snubber, 让能量 消耗在 R上。同时R能起到减小振幅的作用。
*对变压器的漏感Le的处理:
1、变压器采用 三明治 绕法,以减小漏感。
2、在变压器的绕组上加吸收电路。
3、减小Q1 D极到变压器的引线长度。(此引线电感和漏感相迭加)采取上述 措施降低振荡 1的影响之后得下图。

③: Q1 D1 上的振荡 2 会产生较强干扰。
分析方法和②相同,但此时电感已变得很大了(主要为为励磁电感),因此漏感和引线电感对③的影响相对较小。
同样从上面的分析中,可看出Nosie 的传播途径主要是通过变压器的杂散电容Ctx;
Mosfet/Diode到散热片的杂散电容Cm/Cd;及散热片到地的杂散电容Ce等途径而耦合到LISN被取样电阻所俘获。

措施一:在Rs的地端和C2的地间接一个Y电容(472)。
原理分析:它的作用是双重的,一是为Mosfet动作产生且串到变压器副边的noise 电流(如I4),提供一个低阻抗的回路,减小到地的电流。二是为二次侧Diode产生的且串到变压器原边的noise 电流提供低阻抗回路,从而减小流过LISN的电流。
其效果如下图:红色为:未改善之前;蓝色为:采取措施之后

措施二:变压器加法拉第铜环:
变压器是Noise传播的主要通道之一,其中初级线圈和次级线圈间杂散电容Ctx是重要因素。而在变压器内部加法拉第铜环是减小Ctx 的有效的方法之一。



措施三:散热片接Rs的地端:

目的为了将 散热片-Ce—地-LISN这一支路 旁路掉,从而减小到地的电流。其效果如下图:可看出,在低频时较有效;在高频时, 效果不明显,这主要是因为在高频时,管脚直接对地的电容已有相当的作用。
红色为:散热片未接地;蓝色为:散热片接地

当综合上述所有措施后,EMI总效果对比如图所示:
红色为:未采取措施前;蓝色为:综合上述措施后
