统计调查
考察全体对象的调查叫做全面调查。只抽取一部分对象进行调查,然后根据调查数据推断全体对象的情况的调查叫做抽样调查。全面调查和抽样调查是收集数据的两种方式。
要考察的全体对象,称为总体,组成总体的每一个对象称为个体,被抽取调查的那部分个体构成总体的一个样本。
抽取样本的过程中,总体中的每一个个体都有相等的机会被抽到,这样的抽样方法是一种简单随机抽样。
① 用问卷或访问调查的方法收集数据。
② 利用统计表对调查的数据进行整理。
计算 : 最大值-最小值(极差)
把所有数据分成若干组,每个小组的两个端点之间的距离(组内数据的取值范围)称为组距。
最大值-最小值 : 组距 = 组数
对落在各个小组内的数据进行累计,得到各个小组内的数据的个数,叫做频数。
③ 用统计图来描述数据。

统计图

瓶子中有多少粒豆子?
数据的集中趋势(数据分析)

平均数

加权平均数
将一组数据按照由小到大(或由大到小)的顺序排列,如果数据的个数是奇数,则称处于中间位置的数为这组数据的中位数;如果数据的个数是偶数,则称中间两个数据的平均数为这组数据的中位数。
一组数据中出现次数最多的数据称为这组数据的众数。
平均数、中位数和众数都可以反应一组数据的集中趋势。
平均数的计算受极端值(一组数据中与其余数据差异很大的数据)的影响较大。
数据的波动(离散)程度

方差
方差越大,数据的波动越大;方差越小,数据的波动越小。
数据波动程度的几种度量
方差是度量数据波动程度的量。此外,统计中还常用极差、平均差、标准差等来度量数据的波动程度。
一组数据中最大值与最小值的差称为这组数据的极差。极差仅仅反映了数据的波动范围,没有提供数据波动的其他信息,且受极端值的影响较大。
数据的平均差 :

平均差
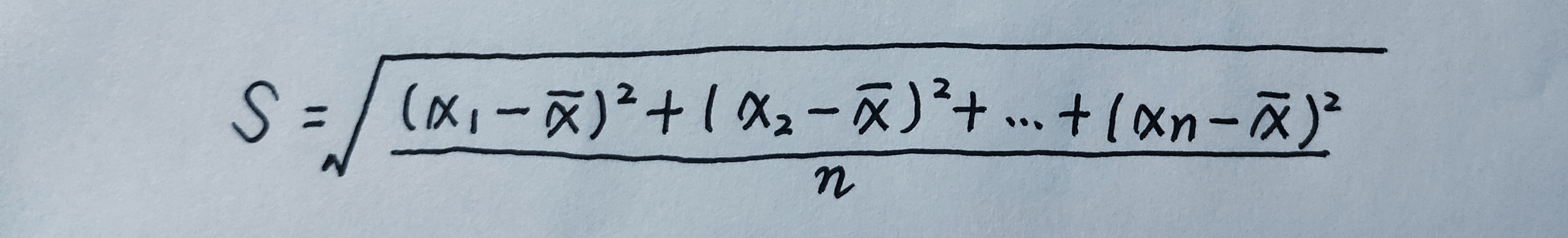
另一种做法是用方差来度量数据的波动程度。标准差是方差的算术平方根。

方差

标准差
标准差的单位与原始数据的单位相同,实际中也常用它度量数据的波动程度。

数据处理的一般过程