原标题
基于BBO-SVM的大坝变形预测模型与性能验证
摘要
针对大坝监测数据小样本、高维度和非线性的特点,引入支持向量机(SVM)机器学习方法,采用生物地理学优化算法(BBO)优化其惩罚因子c和核函数参数g,建立了基于BBO-SVM的大坝变形预测模型。结合2011—2016年水口大坝4个测点共900组环境量与效应量监测数据,对模型预测性能进行了验证,并将预测结果与SVM、PSO-SVM和ABC-SVM大坝变形预测模型进行对比。结果表明:文中提出的BBO-SVM模型不仅预测精度高,且稳定性更好,4个测点的均方根误差分别达到了0.332 0、0.473 5、0.405 7、0.222 8,拟合优度分别达到了0.910 4、0.961 0、0.962 4、0.956 9。本研究可提高大坝安全监测成果利用,对于大坝健康状态预测评估具有一定的工程指导意义。
关键词
大坝变形;预测模型;BBO-SVM;预测性能;
作者简介
刘志(1993—),男,硕士研究生,主要从事水工结构安全监测的研究。E-mail:[email protected]; *
胡少华(1986—),男,讲师,博士,主要 从事岩土工程渗流分析的研究。E-mail:[email protected];
基金
国家自然科学基金青年基金项目(51609184); 国家大坝安全工程技术研究中心开放基金(CX2019B014);
引用
刘志,刘泽,杨金辉,等. 基于 BBO-SVM 的大坝变形预测模型与性能验证[ J] . 水利水电技术,2020,51( 8) : 62-68. LIU Zhi,LIU Ze,YANG Jinhui,et al. BBO-SVM-based dam deformation prediction model and its performance verification[ J] . Water Resources and Hydropower Engineering,2020,51( 8) : 62-68.
0 引 言
随着我国西南地区乌东德、锦屏一级、锦屏二级等大规模水电工程投入运行,目前我国已投入运行的水电工程居全球首位 。水库在发挥调 洪、发电等效益的同时,也存在着溃坝的风险,对下游人民的生命财产安全构成潜在威胁,国内外均有溃坝失事的惨痛教训,因此大坝安全管理尤为重 要 。大坝安全监测是大坝安全管理的重要内容,也是了解大坝运行性态的重要手段 。截至2016年底,我国共有大中型水库2 949座,超过50% 的大中型水库大坝设有表面变形监测,积累了大量的监测数据 。利用历史监测资料建立有效的大坝变形预测模型,对分析大坝安全运行性态、及 时发现水库大坝安全隐患与异常具有重要意义。
近年来,国内外学者在大坝变形预测方面开展了广泛的研究,建立了多种大坝变形预测模型,常用的大坝变形预测模型有统计模型 、BP神经网 络模型 、支持向量机(SVM)模型 等。统计模型计算简捷,能够较好地描述大坝变形效应量和环境量之间的关系,但回归方程只是线性和非 线性方程的组合,难以对环境量和效应量之间复杂的非线性关系进行精确描述,且该模型抗噪声能力差,建模因子误差会对预测精度造成很大影响;BP神经网络模型具有很强的非线性映射能力,能够较好地解决复杂的非线性问题,但模型预测结果受初值影响较大,且易陷入局部极值,模型收敛速度和 预测精度仍需进一步提升 ;而SVM模型因在解决非线性回归问题时不易出现过拟合、泛化能力强,在大坝变形预测建模中得到了广泛应用 。
尽管SVM模型相对于传统方法对大坝变形预测精度有一定程度的提升,但还需要采用新的理论和方法进一步提升模型的预测精度和稳定性。生 物地理学优化算法(BBO)由Dan Simon于2008年首次提出 ,具有实现简单,且在解决全局优化问题时对最优解的求取表现出良好的鲁棒性等优 点,近些年被广泛应用于许多复杂工程问题,例如模式识别问题 、TSP问题 、电力优化问题 等。因此,本文基于BBO算法和SVM机器学 习方法建立基于BBO-SVM的大坝变形预测模型,结合水口大坝6年的监测数据,通过与SVM、PSO-SVM和ABC-SVM大坝变形预测模型进行对比, 检验模型的预测性能。
1 大坝变形预测模型构建
1.1 问题描述
如图1所示,大坝变形是大坝在环境因素和外荷载作用下的综合性态反应,其不仅受环境因素和外荷载(如上游水位,温度,降雨等)影响,同时还取 决于大坝自身的性态(如导温系数、弹性模量、泊松比等) 。由于大坝变形的机理涉及复杂的力学、渗流、热和化学作用,建立能反映上述过程的 物理模型难度非常大。大坝变形监测资料能有效反映大坝的服役性态,因而通过已有的历史监测资料来预测大坝变形趋势是目前评估大坝运行状态 最实用的方法。这种方法的基本思想是将大坝监测数据分为环境量和效应量,然后选用匹配的数学模型来表征效应量和环境量之间关系。

图1 大坝环境监测变量与效应量映射关系
一般将影响大坝变形的环境因子分为三种:水压因子δ 、温度因子δ 和时效因子δ ,其数学表达式为

式中,δ 为混凝土重力坝水压因子,取3个H、H 、H ;δ 为温度因子,取4个,即sin(2πt/365)、cos(2πt/365)、sin(4πt/365)、cos(4πt/365);δ 为 时效因子取2个,即θ、lnθ,其中θ=t/100,t为监测日到基准日的累计监测天数。
由上述可知,共计9个环境因子作为大坝变形预测数学模型的自变量,属于高维数问题,而环境量和效应量之间是非常复杂的非线性函数关系。同 时近期修建的大坝工程监测资料较少,故需建立的大坝变形预测数学模型是一个小样本、高维数、非线性问题。
1.2 模型构建
1.2.1 SVM基本原理
SVM在解决一些小样本、高维数、非线性的问题时具有良好的泛化能力和鲁棒性 ,因此在大坝变形预测上应用广泛。SVM可以将约束优 化问题转化为

从而得到回归模型

式中,w为高维特征空间;c为惩罚因子;ξ为松弛变量;α 为拉格朗日乘子;K(x,x )为径向基(RBF)核函数;x、x 为输入变量;l为输入变量个数;b为偏置 变量;g为核函数参数。
SVM在实际工程应用中的效果由惩罚因子c、核函数参数g所决定,但其参数选择尚未有统一标准。目前,一般采用遗传算法、粒子群算法(PSO) 和人工蜂群算法(ABC)等对参数进行寻优 ,但此类算法都存在有明显不足。如遗传算法求解速度慢、容易陷入局部最优;PSO算法容易过早成熟从而陷入局部最优;ABC算法收敛速度慢,收敛精度较差。与其他优化算法相比,BBO算法具有参数简单、自适应能力强及搜索精度高等优点,能够 有效避免陷入局部最优解,在解决全局优化问题上效果明显 。
1.2.2 BBO优化算法
BBO算法可以将寻找SVM最优参数c、g转化为求目标函数最小值问题,该算法通过模拟自然界中物种在相邻岛屿之间进行迁徙和特殊岛屿生存 环境发生突变来进行信息交换和信息更新,从而解决全局优化问题 。
BBO算法通常将优化问题的每个解设置为一个岛屿,解的适应度对应岛屿的适应度指数(HSI),解的每个分量对应岛屿中的适应度指数变量(SI V),岛屿的HSI由所有的SIV共同决定,全局优化问题就转换为寻找最高HIS的岛屿问题。为了得到优化问题的最优解,BBO算法通过迁移操作和变异 操作进行实现。
1.2.2.1 迁移操作
每个岛屿对应各自的迁入率和迁出率,岛屿内物种数量决定该岛屿迁入、迁出率大小。一般来说HSI高的岛屿容纳的物种数量多,岛屿内的资源 竞争激烈,资源的枯竭导致岛屿不再适应生物的生存,因此该类岛屿迁入率低迁出率高;相反,低HIS的岛屿一般物种数量较少,反而能够吸引其他岛屿 物种的迁入,此类岛屿迁入率高迁出率低。迁移操作实现了物种之间的信息交换,扩大了BBO算法的全局寻优范围,从而实现了对最终结果的优化。 本文迁移模型选用更加契合自然规律的余弦迁移模型如图2所示。

图2 余弦迁移模型
设最大物种数S =n,当岛屿内物种数为m时,该岛屿的迁入率λ 、迁出率μ 分别为

式中,E为岛屿内物种的最大迁出率;I为岛屿内物种的最大迁入率。
1.2.2.2 变异操作
一些突发自然灾害往往会瞬间改变岛屿的生态环境,使岛屿的HSI发生突变。BBO算法通过变异操作来模拟这种自然突变,根据各个岛屿的变异 概率对候选解的每个SIV进行变异操作,为算法提供更多的搜索目标,加快算法收敛速度。岛屿的变异概率与物种数量成反比,即

式中,g 为岛屿内物种数量为s时发生突变的概率;g 为最大突变概率;P 为岛屿内物种数量为s的概率;P 是P 的最大值。

图4 大坝下游引张线测点布置立视图
P 可以根据迁入率λ和迁出率μ来确定如下

1.2.3 基于BBO-SVM的大坝变形预测模型
本文以训练数据的均方根误差作为BBO算法的优化目标函数,即

式中,n为训练样本的总数;y 为第i个训练样本的原始值; 为当参数为c 、g 时SVM模型对第i个训练样本的预测值。
BBO-SVM大坝变形预测模型建立过程如下:(1)输入训练样本,将H、H 、H 等9个环境因子作为输入变量,大坝水平位移作为输出变量;(2)初始 化BBO算法参数,设置最大物种数量S ,最大迁出率I,最大迁出率E,岛屿保持率K,最大突变率g 等;(3)随机生成N个岛屿,即N个解,即Ω=(O ,O ,…,O );(4)根据式(9)计算解的适宜度(HSI),根据适宜度值对每个解(岛屿)进行从大到小排序,按岛屿保持率K保留一定数量的精英解;(5)计算解(岛 屿)的物种数量S ,迁入率λ ,迁出率μ ,执行迁移操作,得到新的解集Ω =(O ,O ,…,O );(6)计算Ω 中每个解的突变概率g ,对岛屿内的SIVs进行变异 操作,得到新的解集Ω =(O ,O ,…,O );(7)跳回到步骤(4)进行下一次迭代,直到BBO算法的目标函数适宜度值小于预设值或迭代次数达到最大值 时停止计算,将得到的最优解作为SVM的参数c和g;(8)用大坝监测数据作为训练样本训练BBO-SVM模型得到BBO-SVM大坝变形预测模型。
BBO-SVM大坝变形预测模型建模流程如图3所示。

图3 BBO算法优化SVM参数流程
2 工程实例
水口水电工程位于福建省闽江干流上,挡水大坝为混凝土重力坝,主要包括挡水段、船闸段、引水段等42个坝段,坝体全长783 m,坝高101 m,坝 顶高程为74 m。坝顶水平位移采用引张线法进行监测,引张线采用南瑞RY-20电容式引张线仪进行自动化监测,引张线测点布置如图4所示,本文选用 坝顶同一高程不同坝段4个测点EX06、EX16、EX26、EX36的历史监测资料,每个测点以2011年12月16日至2016年1月15日共200组环境量和水 平位移数据作为训练样本,以2016年1月22日至2016年7月8日共25组环境量和水平位移数据作为测试样本。

图5 多模型在不同测点变形预测中的性能对比结果
BBO-SVM大坝变形预测模型应用步骤如下:(1)输入训练和预测样本;(2)对输入数据进行归一化处理;(3)设置模型参数,参照参考文献[ 23 , 24 , 2 5 ],并通过实验测试,得到最优的模型计算参数如下,岛屿数量S =50,最大迁出率I=1,最大迁入率E=1,岛屿保持率K=0.2,最大突变率g =0.05,最 大迭代次数D=100,c,g的取值范围为[0.001,1 000];(4)以训练样本对模型进行训练,利用预测样本测试模型的预测性能。
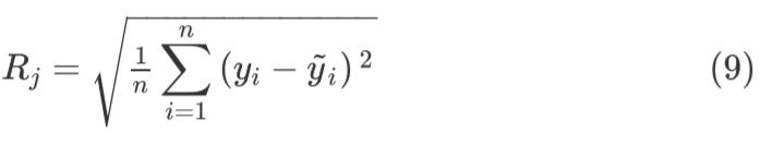
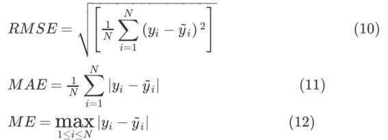
为验证本文提出的BBO-SVM大坝变形预测模型的性能,选用均方根误差RMSE,平均绝对误差MAE,最大误差ME和拟合优度R 作为模型预测能 力评价指标,计算如下


式中,yi 为第i个步长的实测值;yi为第i个步长的预测值; y为所有实测值的平均值。
为了凸显BBO-SVM大坝变形预测模型的优势,本文引入SVM大坝变形预测模型、PSO-SVM大坝变形预测模型和ABC-SVM大坝变形预测模型 与其进行预测性能对比,以上模型在4个测点的变形预测性能对比结果如图5所示。从图5中可以看出:(1)SVM模型在变形趋势上基本能够与实测值 相吻合,但与实测值之间还存在较大偏差,尤其在实测值出现波动的波峰和波谷只能预测大致走势,与实测值的偏差进一步增大;(2)PSO-SVM模型和 ABC-SVM模型相对于SVM模型在整体趋势上预测效果更好,部分预测点对实测值局部波动的波峰和波谷可以准确预测,但部分预测点对局部波动预 测又较差,模型不够稳定。

表1 不同测点变形预测性能量化评估
(3)在4种大坝变形预测模型中,BBO-SVM模型无论是整体预测趋势,还是局部波动预测效果都更好,对实测数据的突变更为敏感,能够在预测中 保持较高精度。以上4种大坝变形预测模型在不同测点的预测性能量化评估结果(见表1)也能证明这种观点。
如表1所列,4个测点中,BBO-SVM模型的RMSE和MAE分别为0.332 0、0.473 5、0.405 7、0.222 8和0.269 3、0.372 2、0.352 1、0.181 4, 对此两个评价指标值从小到大排序为BBO-SVMSVM,说明在总体预测趋势吻合程度上,BBO-SVM吻合程度最高,ABC-SVM和PSO-SVM模型吻合程度优于SVM模型。
总体而言,SVM模型能大致预测大坝变形的整体趋势,但是对局部波动预测较差;ABC-SVM和PSO-SVM模型在预测精度上优于SVM模型,但精 度和稳定性还有待提升;BBO-SVM模型预测精度最高,稳定性最好。该结果进一步说明SVM模型对于大坝变形预测这种小样本、高维度、非线性问 题具有很好的鲁棒性和泛化性,但在寻找参数c、g时,网格搜索法显然存在较大的缺陷,ABC和PSO算法对参数选择进行了优化,提高了参数c、g的精 度,但由于ABC算法收敛速度慢、收敛精度较差,PSO算法容易出现早熟和陷入局部最优解,导致求解出来的c、g不是全局最优解。同时PSO算法不 稳定的特性对预测模型来说非常致命,因为可能在陷入局部最优解之后预测出与实测值偏差很大的预测值,造成重大失误。BBO算法通过迁移和变 异操作解决了局部最优的问题,且收敛精度高,能够很好地寻找到全局最优解,因此BBO-SVM模型在大坝变形预测中表现最佳。
3 结 论
(1)基于SVM机器学习方法在解决一些小样本、高维数、非线性的问题时具有良好的泛化能力和鲁棒性,以及BBO算法具有搜索精度高、自适 应能力强、能够有效地解决全局优化问题等优点,提出了基于BBO-SVM的大坝变形预测模型。
(2)基于本文提出的BBO-SVM的大坝变形预测模型,水口大坝4个测点变形预测均方根误差分别为0.332 0、0.473 5、0.405 7、0.222 8,平均 绝对误差分别为0.269 3、0.372 2、0.352 1、0.181 4,最大绝对误差分别为0.780 0、0.989 2、0.746 7、0.468 0,拟合优度分别为0.910 4、0.9 61 0、0.962 4、0.956 9。
(3)本文研究结果表明:提出的基于BBO-SVM的大坝变形预测模型,相较于SVM、PSO-SVM和ABC-SVM变形预测模型,不仅预测精度更高而且 稳定性更好。本文的研究可丰富大坝变形预测理论,对于大坝健康状态预测评估具有一定的工程指导意义。
水利水电技术
水利部《水利水电技术》杂志是中国水利水电行业的综合性技术期刊(月刊),为全国中文核心期刊,面向国内外公开发行。本刊以介绍我国水资源的开发、利用、治理、配置、节约和保护,以及水利水电工程的勘测、设计、施工、运行管理和科学研究等方面的技术经验为主,同时也报道国外的先进技术。期刊主要栏目有:水文水资源、水工建筑、工程施工、工程基础、水力学、机电技术、泥沙研究、水环境与水生态、运行管理、试验研究、工程地质、金属结构、水利经济、水利规划、防汛抗旱、建设管理、新能源、城市水利、农村水利、水土保持、水库移民、水利现代化、国际水利等。
