
投注者和*彩博**者没有太多共同点——人们可以把他们的关系描述为一场竞争、决斗、战争。但在梦中,他们却为同样的幻想而垂涎三尺:一个完美的预测模型,使用它能够精确地预测出未来游戏的结果。通过深入学习,这或许是可能的——或者至少比以前的数据科学技术更容易。
基本假设是NBA市场效率低下(价格或投注线并不能反映出所有可用信息),而且可能比大多数市场效率更低,因为铁杆球迷倾向于只赌他们最喜欢的球队。如果你能对市场的低效率下赌注,你就能赚钱。我们识别低效率的方法之一是通过数据分析。
尽管许多尝试这一挑战的模型都是准确的,但大多数模型离盈利还差得很远。原因很简单:*彩博**公司也非常准确。即使你能达到*彩博**公司的准确性,你也会因为5%的投注费而失败。

左边的图表是365net的预测线与实际的赢取百分比。一个成功的模型必须能够通过完美的回归分析预测*彩博**公司的微小波动。
我的模型是用带有Tensorflow的Python构建的,它分析了过去11个NBA赛季,并且在很多方面与其他的深度学习模型相似(后者经常被试图用于解决这个问题)。但是我们的模型有一个关键的区别——它使用了一个自定义的损失函数来剔除与*彩博**公司的相关性。我们正在挑选*彩博**公司错误预测获胜百分比的游戏。

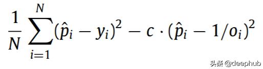
去相关损失公式-这很重要!!!!!!!
源码

模型结构
我用nba_api Python库抓取了得分记录。数据存储在MongoDB集合中。在过去的11个赛季中,每名球员每局共存储42个统计数据,从罚球率到防守得分再到偷球次数不等。下注数据是从betexplorer中收集的。找到高质量的投注线比训练模型困难得多。你可以向斯洛文尼亚卢布雅那大学的什特鲁姆贝尔教授寻求帮助。
对于每一场比赛,样本是用赛季初每名球员最近8场比赛的平均数计算出来的。根据平均比赛时间选出前8名选手。
模型
预处理
import os
import numpy as np
from tqdm import tqdm
from pymongo import MongoClient
bookies = {
"44":"Betfair",
"16":"bet365",
"18":"Pinnacle",
"5":"Unibet"
}
client = MongoClient()
db = client.nba
games = db.games
seasons = [f"002{str(i).zfill(2)}" for i in range(8, 20)]
# load the samples into memory
x, y = [], []
def normalize_sample(nparr):
for feature in range(nparr.shape[-1]): # iterate over the features
f = np.nan_to_num(nparr[:, :, feature])
nparr[:, :, feature] = (f-f.min())/(f.max()-f.min())
return nparr
for season in seasons:
for filename in tqdm(os.listdir(f"samples/{season}")[120:]):
if ".npy" in filename:
game = list(games.find({"GAME_ID":filename.strip(".npy"), "bet365":{"$exists":"True"}}))
if not game:
continue
game = game[0]
closing_odds = 1/float(game["bet365"].split()[1].split("v")[0])
home_win = int(game["HOME"] == game["WINNER"])
sample = np.load(f"samples/{season}/{filename}")
x.append((normalize_sample(sample), closing_odds))
y.append(home_win)
x = np.array(x)
y = np.array(y)
import random
print(x.shape, y.shape)
diff = len(y)//2 - np.count_nonzero(y == 0)
for i in tqdm(range(diff)):
while True:
a = random.randint(1, len(y)-1)
if y[a] == 1:
x = np.delete(x, a, 0)
y = np.delete(y, a, 0)
break
print(len(x), len(y))
模型
from keras import backend as K
from keras.models import Model
from keras.models import Sequential
from keras.layers import Input, Dense, Dropout, Conv2D, Flatten, Activation, concatenate
from keras.optimizers import Adam
c = 0.6
def decorrelation_loss(neuron):
def loss(y_actual, y_predicted):
return K.mean(
K.square(y_actual-y_predicted) - c * K.square(y_predicted - neuron))
return loss
# split the two input streams
box_scores_train, odds_train = map(list, zip(*x_train))
box_scores_test, odds_test = map(list, zip(*x_test))
# box model turns stats into a vector
box_model = Sequential()
shape = box_scores_train[0].shape
print(shape)
box_model.add(Conv2D(filters=32, kernel_size=(1, 8), input_shape=shape,
data_format="channels_first", activation="relu"))
box_model.add(Flatten())
box_input = Input(shape=shape)
box_encoded = box_model(box_input)
odds_input = Input(shape=(1,), dtype="float32") #(opening or closing weight)
merged = concatenate([odds_input, box_encoded])
output = Dense(32, activation="relu")(merged)
output = Dropout(0.5)(output)
output = Dense(8, activation="relu")(output)
output = Dropout(0.5)(output)
signal = Dense(1, activation="sigmoid")(output)
opt = Adam(lr=0.0001)
nba_model = Model(inputs=[box_input, odds_input], outputs=signal)
print(nba_model.summary())
nba_model.compile(optimizer=opt,
#loss="binary_crossentropy",
loss=decorrelation_loss(odds_input), # Call the loss function with the selected layer
metrics=['accuracy'])
nba_model.fit([box_scores_train, odds_train], y_train,
batch_size=16,validation_data=([box_scores_test, odds_test], y_test), verbose=1,epochs=20)
该模型是Conv2D和稠密层的组合,具有大量的dropout。模型独一无二的部分是去相关性损失函数,在我的第一篇论文中提到过。尽管Keras本身并不支持具有神经元值的损失函数,但将函数包装在函数中是一种有用的解决方法。我在GTX 1660Ti上训练了20个世代的网络,直到网络收敛。
结果

使用一种非常原始的赌博策略,即10%的平衡*模型置信度,并且仅在模型的置信度大于0.6的游戏上赌博,我们就产生了向上的平衡趋势。有趣的是,这个模型只赌了大约10%的游戏。除了整个2017-18赛季的惨败,我们的模型表现非常好,从最初的100美元投资到现在的136美元,峰值为292美元。
展望与未来
这只是这个模型的开始。有了令人鼓舞的结果,我想制定一个更具活力的投注策略。如果你想嘲笑/同情我写的一个行的Jupyter笔记本,完整的未经编辑的笔记本可以在这里找到:
唯一有用的可能是下注代码和模型。
使用NoSQL是一个错误,我应该坚持使用SQLite,但是学习一种新技术是很好的。编写一个自定义损失函数是一个非常宝贵的经验,并将在未来的深入学习项目中派上用场。
作者:Caleb Cheng
翻译人:tensor-zhang