
我们在《上帝能让2+2=5吗?》那篇文章中曾说,这个世界是数学的,世间的哲学难题也许最终都要靠数学去解决。今天,我们就用一个数学定理—著名的贝叶斯定理,来解决如何升级我们的认知这一重大难题

01
福尔摩斯是鼎鼎有名的大侦探,他第一次见到华生时,就断言华生刚到过阿富汗。他是怎么知道的?他看到华生是医生,但却一副军人做派,判断他是军医;又看到华生面色黝黑但手腕皮肤很白,判断他肯定刚从热带回来;又因为华生面容憔悴,且左臂受伤,判断他肯定历经艰难。综合所有信息,一名英国军医,刚从热带回来,负伤且历经磨难,结论就是刚从阿富汗回来。一问毕生,果然如此。
大侦探根据蛛丝马迹就能得到真相,很多人又赞叹又羡慕:真神人也,要是我也有这种能力就好了。大侦探的这种能力,我们能学吗?答案是:能学,真的能学!
福尔摩斯大侦探运用的其实是 贝叶斯定理 ,根据新信息不断调整判断,不断接近真相,这是一种非常高明的思维方式。只要真正学懂弄通了贝叶斯定理,并且坚定不移地运用,我们就会不断接近大侦探的判断水平。
那什么是贝叶斯定理?
贝叶斯定理是一个以英国数学家托马斯·贝叶斯(Thomas Bayes,1701-1761)名字命名的著名数学定理,历经260多年的时间洗礼,无数次的实验实践检验,它的正确性早已得到了验证。
贝叶斯是英国统计学家,在概率论领域是里程碑式的人物,贝叶斯定理是他对概率论和统计学做出的最大贡献。在人工智能时代,贝叶斯定理正在变得越来越重要。在几乎所有的机器学习算法中,贝叶斯定理都以某种形式存在,已经成为了机器学习的核心算法和底层框架。
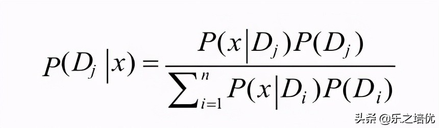
贝叶斯定理是下面这个数学公式。

常用的贝叶斯定理公式如下:

注:P(A)是指现象A发生的概率;P(B)是指现象B发生的概率;P(A∣B)是指现象B发生后现象A发生的概率;P(B∣A)是指现象A发生后现象B发生的概率。
贝叶斯定理翻译成文字说的是:现象B出现的情况下事件A发生的概率,等于事件A发生时现象B出现的概率,乘以事件A发生的概率,再除以现象B出现的概率。
光看公式,我们不好理解贝叶斯定理是用来做什么的。
让我们先用两个例子来说明。
假设老张家有两个孩子,已知老大是女孩,问老二是男孩的概率是多少?老大的性别已经确定了,所以老二要么是男孩,要么是女孩, 故老二是男孩的概率是1/2 。
如果换成“其中一个是女孩,问老二是男孩的概率是多少?”两个孩子,其中一个是女孩,就有“女孩男孩”、“男孩女孩”、“女孩女孩”三种情况,有男孩的情况有两种, 所以老二是男孩的概率是2/3 。 只要条件稍微改一下,概率马上就变了。
假设要计算一个人酒驾时发生交通事故的概P(A∣B)。
P(A)就是发生交通事故的概率。这个概率可以任性设置,一般根据历史数据、参考专家意见甚至主观猜测来设置,假设为2%。
P(B∣A)是在发生交通事故中司机酒驾的概率。假设每100起交通事故,平均有3起司机是酒驾的,那P(B∣A)就是3%;P(B)就是人们酒驾的概率,假设为1%。
则一个人酒驾时发生交通事故的概率:
P(A∣B)=3%/1%×5%=15%。
现在,随着大数据的应用和对酒驾处罚加重,假设酒驾概率由1%变为0.3%,那P(A∣B)就要变成3%/0.3%×5%=50%。
从上述两个例子,我们可以看到: 首先,贝叶斯定理是用来计算概率的。 概率问题分为两种:一种是我们知道“原因”,要去推测某个“现象”。比如知道了硬币两面都是平的,问正面朝上的概率;知道了*子骰**点数是均匀的,问掷出三点的概率,这种叫 正向概率 ;另一种是我们看到了“现象”,要去推测背后的“原因”。比如,这个人发烧了,问得流感的概率有多大;傍晚看到天空的晚霞,问明天下雨的概率有多大。这种 叫逆概率 。贝叶斯定理主要用来解决逆概率问题。
其次,贝叶斯公式一共有四个数。 P(A∣B)是我们想求解的答案,P(A)是我们可以主观设定的概率,P(B∣A)和P(B)是调整因子,是我们必须要去探索的新事实、新证据,必须要是客观的,不能拍脑袋随便设定。这既是贝叶斯公式的难点,也是奇妙点。
最后,贝叶斯定理是个动态的、迭代的过程 。 每个新信息的加入都要重新计算一遍,然后得到一个新概率;这个过程只要持续推进,最后一定会无限逼近真理。就像打麻将,必须要根据牌桌局势的不断变化,其他人的出牌情况,不断调整自己的打法。
用一句话来说贝叶斯定理就是: 新概率=新信息的调整因子×先验概率。
贝叶斯定理虽然是18世纪的产物,看着普通,但其实是一种非常高明的思维方式,思想之深刻远超普通人的认知。可以说,它是这个时代升级我们认知水平的底层法则。
02
按照*京大南**学副教授刘嘉的说法,贝叶斯定理之所以是一种非常高明的思维方式,是因为它有两大优势:
一个是起点不重要,迭代很重要。 刚开始时我们随便猜都可以,真正重要的是迭代,要根据客观事实不断修正。贝叶斯不是推理一次就完了,而是要反复推理,每找到一个新信息、获得一个新知识,就要进行一次推理,然后得到一个新判断。而下一个新信息,要么进一步证实我们的判断,要么削弱我们的判断。就这样不断的微调,不断迭代,贝叶斯最后一定会无穷接近真理。
另一个是信息越充分,结果越可靠。 为什么我们总是要寻找新信息,获取新知识,总是希望信息越完备越好?其实也是为了运用尽可能多的信息,提高我们判断的准确率。机器学习的底层理论是贝叶斯定理。之所以谷歌训练人工智能识别猫狗图片时要给它喂成千上万张照片,特斯拉训练自动驾驶时要收集数以亿计小时的数据,就是因为数据越多,信息越充分,计算结果就会越精确,越逼近真相。
起点不重要,迭代很重要,就需要我们保持开放的头脑,持续地学习;信息越充分,结果越可靠,就需要我们随时调整认识,观点要随事实而改变。 按照贝叶斯定理,每次精进一点,持续精进,人可不就越活越聪明,越活越通透,认知越来越高级了吗?
如果说对贝叶斯定理的一阶认识是公式和日常例子;二阶认识是它的两大优势和道理;那么,三阶认识就是要用它深刻的思想来升级我们的认知水平。
贝叶斯定理之所以能成为我们升级认知水平的底层法则,是因为它蕴含了三种顶级思维: 概率思维、演化思维和科学思维。
我们一个一个来说。
03
第一种是概率思维。 贝叶斯定理是典型的概率思维,计算出的任何结果都是一个概率,它要我们用概率思维来看待世界。从概率的角度看,我们对世界的认识,就是对概率大小的认识,追求真理的过程,就是追求概率无限逼近1的过程。
比如,决定经济增长的因素到底有多少种?影响股票涨跌的因素到底有多少种?决定恒星运动的力到底有多少种?原子衰变到底能释放出多少种粒子?每一次这样的认知突破,都是在增加信心的充分度,提高我们对世界的认识概率。按照概率学家的说法, 是在“增加样本的完备性”。
我们都说这个世界是复杂的、不确定性的,事实上也是,随机、概率原本就是这个世界的常态和底色。越是充满不确定性,我们越追求确定性。追求确定性,我们必须要有概率思维。为什么?
因为概率是对随机事件发生可能性大小的定量描述,是对世界可能性的度量。 概率论解决随机问题的本质,就是把局部的随机性变成整体上的确定性。概率论不是帮我们预测下一秒会发生什么,而是为我们刻画世界的整体确定性。
比如,城市里,我们不知道今天会有哪几个家庭的婴儿出生,但这座城市的出生率却大致是确定的;对保险公司而言,虽然不知道下一刻哪里会发生交通事故,但这个地方一年发生的交通事故率基本是确定的;买彩票时,我们不知道明天开奖的数字是多少,但彩票公司这一期的收益率基本是确定的;著名的薛定谔的猫,我们不知道下一秒它是生是死,但它生死可能性的叠加态是确定的。某一次结果的随机,是低层次的事;而概率论,是高层次的、确定性的认知。
概率论就像一个城市,我们可以不知道城市里每一栋建筑的样子,但我们可以确定地知道这个城市的建筑模式。
讲概率思维,首先就是要掌握现实世界的数学模型,找到代表现实世界的规律。现实世界纷繁复杂,各种随机变量数不胜数,但在概率学家眼里,就只分为两种,一种是已经是找到了变化规律的,常见的有几十种,比如正态分布、幂律分布、泊松分布、指数分布等;另一种是还没有找到变化规律,还不能用概率分布模型去描述的。
碰到第二种情况怎么办呢?正确的做法是:先假设它服从某个概率分布模型,然后去验证假设,若出现了新的证据、新的发现,就对假设进行修正;若发现模型错了,就重新选一个。就这样不断的修正模型,不断的发现模型,我们对世界的认知就会越来越确定。
一句话,概率思维要求我们去学模型、建模型,用模型来不断探索真理,向真理世界靠拢。有了模型,我们就能从有限信息中猜测出上帝底牌,最大可能理解未来,预测未来,抓住未来。
04
第二种是演化思维。 贝叶斯定理要求观点随事实而改变,随时跟进条件变化做调整,本质上就是演化思维。“物竞天择、适者生存”的演化思维我们都懂,但我们今天要说的演化思维要往前再走一步。
人类最主要的一个弱点是,总是沉迷于自己的主观偏好,更要命的是为了证明自己观点是正确的,为了不认知失调,人类会自我合理化、冠冕堂皇解释自己的主观认知。一个主观偏好就像棵大树,背后可能是一组人际关系、过往历史、利益格局、价值观念和行动方式,根深叶茂,复杂程度远远超过我们想象,所以普通人要不让过去的经验影响现在,也不让未来的妄念影响当下,要做到“事实改变观念”有不小的难度。
哲学家叔本华说:阻碍人们发现真理的障碍,并非是事物的虚幻假象,也不是人们推理能力的缺陷,而是人们此前积累的偏见。
所以,乔布斯才说,Stay hungry,Stay foolish。保持饥饿,保持愚蠢。
也许我们要向金融大亨达里奥学习。雷·达里奥是世界最大的对冲基金,桥水联合基金创始人,他不仅是超级富豪,也是一名思想家,把他的思想写成了超级畅销书《原则》。
达里奥认为,所有道理中的最大道理,是演化,这个世界是讲理的,不是全凭运气完全随机的。演化是世界作为一个整体在不断优化的过程,比如技术进步总是从落后到先进,从低级到高级。一切好东西都是在刚刚出来的时候是好东西,时间长了这个东西就不行了,老的东西一定会被淘汰,新的东西一定会出来。演化的规律要求我们必须不断地创新和进步, 要不断尝试—失败—学习—改进,理想人生就是这个永无止境的循环。
在达里奥看来,要有演化思维,首先要激进地开放头脑,只看逻辑、证据,只看想法的精英政治,谁的观点对,就听谁的。这个过程当中充满了痛苦、失败。但痛苦和失败恰恰是演化的必然环节,只有这样敢于与自己做斗争,你才能拥有理想人生。
牛人之所以牛,就是因为他们能够和直觉,和本能相对抗,能够与自己的存量做斗争,始终保持对世界探索的热情,敢于不断放空自己,回到原点进行虚怀若谷式的思考。
一句话,演化思维就是要不断 尝试—失败—学习—改进 , 在这个过程中勇于与自己做斗争,勇于破掉自己的固有偏见,让观念随事实而变。
05
第三种是科学思维。 贝叶斯定理讲的是一定要找到更多、更新的客观事实、客观数据作为调整因子,这样贝叶斯值才能无限逼近真理。 贝叶斯值不断提高的过程,就是科学不断被证伪的过程。
判断科学的核心依据是波普尔提出的“可证伪性”,科学追求的是可证伪性,愿意、甚至追求被别人证明说“我错了”。
科学发现的逻辑是这样的:先提出问题,针对问题提出理论猜想,再用事实证据来检测这个猜想。如果检测和猜想相符,就保留猜想,如果反面证据一直没有出现,猜想就一直维持;如果出现了反面证据,就放弃这个猜想,重新构想新的理论。然后进入下一轮检测。
提出猜想的前提是提出好问题。苏格拉底说,一个好问题能让复杂的事情变简单,这是人类智慧的高级形式。 好的问题是成功的一半,一个好问题在我们脑子里出现,其实也是我们认知能力出现实质性突破的信号。
科学思维的第一步是提出好问题。有了好问题,就有了解释模型,旧的解释模式不断的被验证、被*翻推**,就提出新的解释模型,然后进入新一轮的验证、检测。这个过程循环往复,人的认知水平、人的能力就会持续不断的提高。 要提高认知水平,首先一定要提出好问题,或找准好问题。
科学思维讲究实事求是,只看证据、逻辑,不在意观点提出者的尊卑、背景,哪怕你是诺贝尔奖获得者,过去一贯正确,如果现在验证是错了就是错了,错也也得改。
科学思维也讲究共识,所以你还得懂得范式,得相信点什么。库恩在《科学革命的结构》中说,科学其实是不断在老观念里做小修小补,到了不得不推倒重来的时候,再来个大颠覆。然后又进入新一轮的小修小补,再来个颠覆。老观念、大颠覆,基本上是绝大部分科学家都认可的共识,这个共识就叫做科学的范式。
在贝叶斯定理中,这个共识可以是计算的起点,你主观估算的那个值,你总得相信点什么;也可以是客观影响因子,总之你得按照科学的思维来计算贝叶斯定理。如果你总得相信点什么,我们建议你相信数学,数学的对错是绝对的,相信对的总没错。
借用范式的比喻,我们升级认知的过程像造房子,开始是按照过去的图纸造,风格、功能需求、模式都是当时的,都是先进的,但随着时代变化,渐渐地发现功能不够用了,风格落后了,有更好的大平层框架了,刚开始舍不得推倒重建,就搞点内部装修,这里补补、那里改改凑合住着,直到有一天,发现实在不行了,一狠心推倒重来,重新设计、重新建造。然后进入新一轮的修修、补补循环。
我们讲用科学思维升级认知,包含两重意思:提出好问题,确定思考框架;找到模型去回答问题,持续去证伪;根据新证据、新事实去修正模型,甚至颠覆模型,否定之否定,我们的认知水平一定会提高。
最后的话
观点随事实而改变,是贝叶斯定理的核心思想。
我们要用概率思维,把局部的随机性变为整体的确定性,用模型从有限的随机信息中获得对世界确定性的认知。
我们要用演化思维,激进地开放头脑,Stay hungry,Stay foolish,持续尝试—失败—学习—改进。
我们要用科学思维,懂得好问题的价值大过答案的价值。在好问题的框架内,不断提出猜想—验证猜想---修正猜想,构建和升级自我认知新范式。
以上这些,就是我们希望你从贝叶斯定理中拿走的东西!