
原图来源于网络
文/文郎画竹
我在给小伙伴们规划保险时,总是建议小伙伴们考虑定期消费型的产品,在一些特别的情况下,确实有终身保险的需求时也会建议有分红的,从来不建议终身型还不分红的。
但小伙伴们通常会觉得定期消费型钱就没了不划算,带分红的保费太贵,所以往往折中选择了终身不分红的保险。
我一直在说终身不分红的产品在大约60岁后所交保费的价值就等于保额了,很多小伙伴不理解,也不相信。今天我就给大家来算一算,看看究竟我说的对不对。计算并不复杂,所用到的方法无非是高中所学的知识,相信大家能看得懂。
我们以30岁男性为例,用我们公司相应的代表性产品来对比说明。
同样的设置为50万保额,20年缴费,
太平康颐定期重大疾病保险(下面简称“康颐定期”),保障至60岁,年缴保费7250元;
太平福利健康C款重大疾病保险(下面简称“福利C”),保障至终身,年缴保费14100元,
太平金无忧重大疾病保险(分红型)(下面简称“金无忧”),保障至终身,年缴保费17175元。
假设通货膨胀率每年3%。我们在考虑通货膨胀情况下钱的价值,往往用贴现值来说明。但很多小伙伴不明白贴现值,那我们就用购买力来说明。
比如现在一瓶水是1元,年缴保费7250元相当于7250瓶水的价值,保额50万,就是说当发生疾病时,保险公司给相当于50万瓶水的价值。为什么用水来说明呢?因为水是生活基础必须品,缺了什么都不能缺水,水的价值能够比较好的反映人们的生活水平以及钱的购买力价值。
通货膨胀率每年3%,那么到了第二年,一瓶水的价格就变成1.03元了。
以康颐定期来说,年缴保费7250元的实际购买力价值就等于是

也就是说第二年的同样数额的钱,只能买到7038.835瓶水。以此类推,20年保费的实际购买力价值叠加起来就是

也就是我们实际所交保费的价值相当于是11万多瓶水。
而我们的保额50万,在第一年无疑可以购买50万瓶水,在第二年就变成了

也就是第二年能够购买485436.893瓶水,而第三年

以此类推到60岁也就是第30年时

在保障期限的最后一年,保额的实际购买力相当于21万多瓶水,而所交保费的购买力是11万多瓶水,可见这份保险在保障期的最后一年,仍然是有转移风险的功能的,如果这一年出险,这份保障仍然能够给我们解决大约相当于10万瓶水价值的经济帮助。
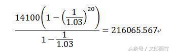
而如果是福利C,年缴保费14100元,在交满20年时所缴保费的实际购买力价值为

也就是相当于21万瓶水多的价值,而保额50万在60岁时的价值也是21万多瓶水。
所以说终身不分红的重疾险,在到60岁时,所缴保费的价值就相当于是保额的价值了,如果在这一年发生风险,那相当于是攒钱看病,这份保障并没有帮助解决多余的经济帮助。何况假如60岁还没有发生风险,这之后保费所交价值不变,而保额的价值仍然在递减,那么在60岁后发生风险,那这份保险就处于交的比保的多的地步了。
那分红型的又如何呢?那我们来看看金无忧。
由于有保险公司投资的作用,保额并不像无分红的产品一样固定不变,而是随着分红的增多而逐渐增长的,在中档红利的演示下,到被保险人60岁那一年身故保额增长到974190元,而重疾保额增长到639186.9(500000+139186.9)元。如图:


所以60岁这一年身故保额的实际购买力价值是

重大疾病保额的实际购买力价值是

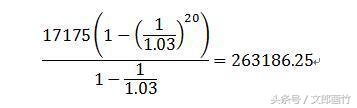
而所交保费的实际购买力价值是

也就是说,金无忧这款保险在中档红利下,在60岁这一年身故保额购买41万多瓶水,重疾保额够买27万多瓶水,而所交保费的价值是26万多瓶水。可以看出如果60岁这一年发生身故风险,那么这份保障还是起到了经济帮助的作用,如果是发生重疾风险,那么也有作用但是作用不大,仍然相当于是攒钱看病,但是不要忘了,所交保费的购买力已经是固定不变的,而身故保额和重疾保额仍然会随着分红的增加而提高,购买力的价值仍然在增长,所以在60岁后发生风险时,这份保障是能够起到经济帮助的作用的。
综合对比下来你就知道我为什么不建议购买终身型不分红重疾险了。
这样的比较和计算告诉我们,如果考虑短期的保障,担忧的是工作年限内的风险,那么选择定期消费型的保障没错,这样不会浪费多余的钱在用不上的地方。如果考虑长期的保障,考虑超过60岁的甚至是终身的保障,在那么长的时间里,一定要利用分红来使我们的钱保值增值,尤其在保险中可以提现时间与复利的神奇。
需要注意的是以上提到的分红一定是指增额分红,因为只有这个方式的分红才有平稳红利以及复利的效果。并且这三款保险都有身故责任,而重大疾病方面只有疾病种类的区别,切不要拿保障责任完全不同的保险来计算比较。另外选择的缴费期限只是为了对比而保持一致,福利C与金无忧并非最长只有20年期缴,不要想当然的认为都是20年缴,我在其他文章里说过能把缴费期拉长就拉长的道理,希望大家能够明白以及灵活应用。
推荐阅读:
这一篇干货,让你懂分红保险
60岁之前买了定期保险,60岁之后怎么办?
让你把保障型保险的保费期限拉最长,是因为这样你才划算
我立志把正确的保险观念传播出去。如果您觉得观念不错,希望能把文章转发出去,这样就可能让更多有需要的人看到啦。
对得起良心的保险代理人——文郎画竹
感谢您的耐心阅读。O(∩_∩)O~
欢迎关注微信公众号喔: yuan_lai_ru_ci_