目 录
一、 实心段模板计算书
(一) 模板侧压力计算
(二) 对拉螺杆拉力计算
二、 横隔板模板、内模支撑体系计算书
(一) 横隔板模板布置说明
(二) 横隔板模板、内模支撑体系验算
1. 竹胶板验算
2. 方木验算
3. 工字钢12验算
(三) 结论
三、 墩顶实心段支撑体系计算书
(一) 封顶实心段模板布置说明
(二) 墩顶实心段模板及支撑体系验算
1. 竹胶板验算
2. 方木验算
3. 工字钢12验算
(三) 结论
四、 盖梁模板及支撑体系计算书
(一) 工程概况
(二) 计算依据
(三) 托架构造设计图
(四) 基本参数
(五) 荷载设计
1. 荷载分析
2. 设计荷载
3. 盖梁模型及计算成果
(六) 结论
五、 吊装设备起重能力复核计算书
(一) 工程概况
(二) 主要性能参数
(三) 吊车绳索检算
(四) 吊车稳定性检算
六、 其他临时结构计算书
(一) 塔吊承台天然基础的计算
1. 计算依据
2. 塔机型号C5013(QTZ63)塔式起重机
3. 地基承载力计算
4. 地基变形计算
5. 塔机风荷载计算
七、 液压自爬模计算
一、实心段模板计算书
(一)模板侧压力计算
①混凝土作用于模板的侧压力,根据测定,随混凝土的浇筑高度而增加,当浇筑高度达到某一临界时,侧压力就不再增加,此时的侧压力即为新浇筑混凝土的最大侧压力。侧压力达到最大值的浇筑高度称为混凝土的有效压头。通过理论和实践,可按下列两式计算,并取其最小值:

②式中:F--新浇筑混凝土对模板的最大侧压力(KN/m2);γc--混凝土的重力密度(kN/m3),此处取25kN/m3;t0--新浇混凝土的初凝时间(h),此处取2.5小时;V--混凝土的浇灌速度(m/h);取0.3m/h;H--混凝土侧压力计算位置处至新浇混凝土顶面的总高度(m),取1.5m;β1--外加剂影响修正系数,不掺外加剂时取1;掺具有缓凝作用的外加剂时取1.2;β2--混凝土坍落度影响系数,当塌落度小于30mm时,取0.85;50—90mm时,取1;110—150mm时,取1.15。


取二者中的较小值,F=10.39kN/ m2
有效压头高度:

倾倒混凝土产生的水平载荷标准值查表17-78(建筑施工手册)为4.0 kN/ m2。
综上,模板侧压力标准值为10.39KN/m2,设计值为18.068 KN/m2。
(二)对拉螺杆拉力计算
对拉螺栓承受最大拉力N=18.068×0.75×0.75=10.16 KN。
对拉螺栓直径为16mm,对拉螺栓有效面积为 A=144 mm2,对拉螺栓承受拉力最大值为 [N]= f×A=24.5 KN。(其中:f—对拉螺栓的抗拉强度设计值,取170 N/mm2;A—对拉螺栓有效面积(mm2))
N=10.16 KN < [N]=24.5 KN
故对拉螺杆受力满足要求。
二、横隔板模板、内模支撑体系计算书
(一)横隔板模板布置说明
薄壁空心墩横隔板厚度为0.4m,每8m设置一道横隔板,横隔板模架需架空设计,横隔板根端横桥向倒角为0.4m×0.4m,顺桥向倒角为0.2×0.4m,在施工墩身倒角时先将I12工字钢预埋在墩身倒角的相应位置,与墩身倒角砼一同浇筑,确保墩身的整体稳定性,I12工字钢沿纵桥向铺设,工字钢顶面铺设方木(10×10cm)+竹胶板(1.5cm厚)形式,考虑到施工安全风险较高,且费时费工,支架不进行拆除。纵向工字钢间距按1.0m布置,方木间距按0.3m布置。

横隔板支架布置形式
(二)横隔板模板、内模支撑体系验算
1.竹胶板验算
取100mm宽的竹胶板截面进行验算,面板特性如下:

底膜采用15mm厚竹胶合板,横向湿状静曲强度取15Mpa。采用单向板计算,跨度23cm(方木中心间距30cm)。
荷载计算(横隔板浇筑高度0.4m):
混凝土线性荷载:q1=1.2×26×0.1×0.4=1.248kN/m;
振捣线性荷载:q3=1.4×2.0×0.1=0.28kN/m;
强度荷载组合:q=1.248+0.28=1.528kN/m;
单向板跨中弯矩:

弯曲应力:

,满足要求;
2.方木验算
方木截面特性:

混凝土线性荷载:q1=1.2×26×0.3×0.4=3.744kN/m;
振捣线性荷载:q3=1.4×2.0×0.3=0.84kN/m;
强度荷载组合:q=3.744+0.84=4.584kN/m;
跨中弯矩:

弯曲应力:

,满足要求;
3.工字钢12验算
工字钢12截面特性如下:

混凝土线性荷载:q1=1.2×26×1×0.4=12.8kN/m;
振捣线性荷载:q3=1.4×2.0×1=2.8kN/m;
强度荷载组合:q=12.8+2.8=15.6kN/m;
刚度荷载组合:10.4+2=12.4kN/m
跨中弯矩:

弯曲应力:,满足要求;
挠度:

,满足要求。
底模板支撑间距为30cm,面板按五跨连续梁进行计算。计算中取1m宽模板。
(三)结论
通过以上计算横隔板模板及支撑体系中的竹胶板、方木、工字钢12的强度及刚度满足规范要求。
三、墩顶实心段支撑体系计算书
(一)封顶实心段模板布置说明
薄壁空心墩上实体厚2.5m,长6m,宽1.9m,薄壁空心墩上实体内支架需支撑顶宽0.7m,长6m。在施工墩身倒角时先将长1.2米的12工字钢预埋在墩身倒的相应位置,与墩身倒角砼一同浇筑, 12工字钢沿线路纵坡铺设,工字钢顶面铺设10cm×10cm方木,方木间距为15cm,方木上面铺设竹胶板形式,考虑到预留人洞风险较高,且费时费工,支架不进行拆除,纵向工字钢间距按0.5m布置,跨度0.7m。

(二)墩顶实心段模板及支撑体系验算
1.竹胶板验算
取100mm宽的竹胶板截面进行验算,面板特性如下:

底膜采用15mm厚竹胶合板,横向湿状静曲强度取15Mpa。采用单向板计算,跨度12cm(方木中心间距15cm)。
荷载计算(上实体浇筑高度2.5m):
混凝土线性荷载:q1=1.2×26×0.1×2.5=7.8kN/m;
振捣线性荷载:q3=1.4×2.0×0.1=0.28kN/m;
强度荷载组合:q=7.8+0.28=8.08kN/m;
单向板跨中弯矩:

弯曲应力:

,满足要求;
2.方木验算
方木截面特性:

混凝土线性荷载:q1=1.2×26×0.15×2.5=11.7kN/m;
振捣线性荷载:q3=1.4×2.0×0.15=0.42kN/m;
强度荷载组合:q=11.7+0.42=12.12kN/m;
跨中弯矩:

弯曲应力:

,满足要求;
3.工字钢12验算
工字钢12截面特性如下:

混凝土线性荷载:q1=1.2×26×0.5×2.5=39kN/m;
振捣线性荷载:q3=1.4×2.0×0.5=1.4kN/m;
强度荷载组合:q=39+1.4=40.4kN/m;
刚度荷载组合:32.5+1=33.5kN/m
跨中弯矩:

弯曲应力:

,满足要求;
挠度:

,满足要求。
(三)结论
通过以上计算墩顶实心段模板及支撑体系中的竹胶板、方木、工字钢12的强度及刚度满足规范要求。
四、盖梁模板及支撑体系计算书
(一)工程概况
ZK7+291/K7+263上龙邦大桥盖梁设计4片,盖梁尺寸:12.35×2.3×2.0m(长×宽×高)(左幅2片、右幅2片),设计混凝土强度C40,以长12.35m×宽2.30m×高2.00m最大盖梁尺寸进行盖梁支撑系统受力分析。
(二)计算依据
(1)《公路桥涵施工技术规范》(JTG/T 3650-2020)
(2)《路桥施工计算手册》
(3)《钢结构设计标准》(GB50017-2017)
(4)《建筑结构荷载规范》(GB50009-2012)
(三)托架构造设计图
(1)在空心薄壁墩部适当位置沿桥梁顺桥向每个墙面预埋2个Φ110mm的PVC管,间距为5.00米,保证预埋PVC管水平,进行密封及固定处理。
(2)主梁双拼50b工字钢安装:50b工字钢长14.75m,安装之前在穿心钢棒上先焊接一根14#槽钢作为千斤顶底座。工字钢上下打眼采用螺栓连接,墩身前后的方向采用Φ16拉筋前后对拉,设4道,防止倾覆。
(3)分配纵梁16工字钢安装:分配梁为16工字钢,位于一次分配主梁之上,即搭接在墩身前后的双拼50b工字钢之上,与主梁焊接连接,横向间距35cm,单根长4.80m。

图7-1盖梁支撑系统设计图
(四)基本参数
(1)基本构造参数
薄壁空心墩盖梁最大截面尺寸B×h=2.30m×2.00m,盖梁总长12.35m,盖梁支撑方法穿芯棒法,盖梁支撑体系布置形式采用横向分布梁+纵向承重梁。
(2)钢棒
钢棒采用 φ100mm 合金结构钢棒(40Cr),钢材采用规范 GB/T 3077-2015 的合金结构钢 40Cr,屈服强度允许值[σ]=785MPa,抗剪允许值[τ]=471Mpa。
(3)Q235
抗拉、抗压、抗弯强度设计值为[σ]=205MPa;抗剪设计值[τ]=120Mpa。
(五)荷载设计
1.荷载分析
施工荷载包括:盖梁模板自重,钢筋混凝土重量,施工人员及设备质量,灌注砼时振捣产生的冲击力等。
2.设计荷载
2.1 永久荷载
1支架自重
由模型自动计入;
2钢筋混凝土自重
a.盖梁悬臂荷载
钢筋混凝土湿重考虑 1.05 的超载系数,按 1.05×26=27.3kN/m3计算,

图7-2 悬臂荷载分布示意图
荷载计算结果如下表:
表 7-1分配梁混凝土荷载
|
位 置 |
面积(m2) |
加载长度 (m) |
混凝土方量 (m3) |
混凝土湿重 (kN/m3) |
混凝土湿重 (kN) |
I16 线荷载 (kN/m) |
|
1 |
0.4967 |
2.3 |
1.14 |
27.3 |
31.19 |
13.56 |
|
2 |
0.6670 |
2.3 |
1.53 |
27.3 |
41.88 |
18.21 |
|
3 |
0.6309 |
2.3 |
1.45 |
27.3 |
39.61 |
17.22 |
|
4 |
0.5950 |
2.3 |
1.37 |
27.3 |
37.36 |
16.24 |
|
5 |
0.5591 |
2.3 |
1.29 |
27.3 |
35.11 |
15.26 |
|
6 |
0.5233 |
2.3 |
1.20 |
27.3 |
32.86 |
14.29 |
|
7 |
0.4874 |
2.3 |
1.12 |
27.3 |
30.60 |
13.31 |
|
8 |
0.4516 |
2.3 |
1.04 |
27.3 |
28.36 |
12.33 |
|
9 |
0.4157 |
2.3 |
0.96 |
27.3 |
26.10 |
11.35 |
|
10 |
0.1398 |
2.3 |
0.32 |
27.3 |
8.78 |
3.82 |
b.盖梁襟边荷载
襟边荷载全部由主梁双拼 50b 工字钢承担,为 2.0×0.1×27.3=5.46 kN/m

图7-3 襟边荷载分布示意图
3模板自重
a.盖梁底模面积为:3.3×2.3=7.59㎡,模板考虑 1.4kN/㎡,则内模荷载为: 7.59×1.4=10.63 kN;
表 7-2 分配梁底模荷载
|
位置 |
模板面积(㎡) |
模板重(kN/㎡) |
模板自重(kN) |
I16 线荷载(kN/m) |
|
1 |
0.59 |
1.4 |
0.83 |
0.36 |
|
2 |
0.84 |
1.4 |
1.17 |
0.51 |
|
3 |
0.84 |
1.4 |
1.17 |
0.51 |
|
4 |
0.84 |
1.4 |
1.17 |
0.51 |
|
5 |
0.84 |
1.4 |
1.17 |
0.51 |
|
6 |
0.84 |
1.4 |
1.17 |
0.51 |
|
7 |
0.84 |
1.4 |
1.17 |
0.51 |
|
8 |
0.84 |
1.4 |
1.17 |
0.51 |
|
9 |
0.84 |
1.4 |
1.17 |
0.51 |
|
10 |
0.30 |
1.4 |
0.42 |
0.18 |
b.横桥向盖梁悬臂部分侧模面积为 5.0㎡,模板考虑 1.4kN/㎡,则侧模荷载为:5.0×1.4=7 kN。
表 7-3 分配梁侧模荷载
|
位置 |
模板面积(㎡) |
模板重(kN/㎡) |
模板自重(kN) |
I16 线荷载(kN/m) |
|
1 |
0.4967 |
1.4 |
0.70 |
0.70 |
|
2 |
0.6670 |
1.4 |
0.93 |
0.93 |
|
3 |
0.6309 |
1.4 |
0.88 |
0.88 |
|
4 |
0.5950 |
1.4 |
0.83 |
0.83 |
|
5 |
0.5591 |
1.4 |
0.78 |
0.78 |
|
6 |
0.5233 |
1.4 |
0.73 |
0.73 |
|
7 |
0.4874 |
1.4 |
0.68 |
0.68 |
|
8 |
0.4516 |
1.4 |
0.63 |
0.63 |
|
9 |
0.4157 |
1.4 |
0.58 |
0.58 |
|
10 |
0.1398 |
1.4 |
0.20 |
0.20 |
c.横桥向盖梁桥墩上方侧模面积为 6×2=12㎡ ,模板考虑 1.4kN/㎡,则侧模对主梁的线荷载为:12×1.4/6=2.8 kN/m。
表 7-4 主梁侧模荷载
|
位置 |
侧模面积(㎡) |
模板重(kN/㎡) |
模板自重(kN) |
加载长度(m) |
双拼 I50b 线荷载 (kN/m) |
|
主梁 |
12 |
1.4 |
16.80 |
6 |
2.8 |
d.顺桥向悬臂端侧模面积为 1.1×2.3=2.53㎡,模板考虑 1.4kN/㎡ ,则侧模对分配梁的线荷载为:2.53×1.4/2.3=1.54 kN/m。
表 7-5 分配梁侧模荷载
|
位置 |
侧模面积(㎡) |
模板重(kN/㎡) |
模板自重(kN) |
加载长度(m) |
I16 线荷载(kN/m) |
|
10 |
2.53 |
1.4 |
3.54 |
2.3 |
1.54 |
2.2 可变荷载
施工荷载
施工人员、施工机具和施工材料临时存放荷载按 2.5 kN/㎡;
混凝土倾倒及振捣荷载按 2 kN/㎡
2.3 荷载组合及施工阶段
盖梁自重及支架自重均按恒载考虑组合系数 1.3,施工荷载按活载考虑组合系数1.5。
结构重要性系数按 1.0 取值。
3.盖梁模型及计算成果
本次计算采用 MIDAS 进行支架结构建模分析,

图7-4 盖梁支架计算模型示意图
3.1 工字钢16构件验算
1强度验算

图7-4 I16 弯曲应力图
由上图知 I16 最大应力为 109.7MPa,小于 Q235 强度设计值为[σ]=205MPa, 满足规范要求。

图7-5 I16 剪应力图
由上图知I16最大剪应力为 38.51MPa,小于 Q235 抗剪设计值[τ]=120Mpa,满足规范要求。
2刚度验算

图7-6 I16 最大变形图

图7-7 I16 相对变形图
最大相对挠度为25.047-23.971=1.076mm 小于L/400=2300/400=5.75mm,满足规范要求。
3.2 双拼工字钢50b构件验算
1强度验算

图7-8 双拼I50b 弯曲应力图
由上图知双拼 I50b 最大应力为 161.6MPa,小于Q235 强度设计值为[σ]=205MPa,满足规范要求。

图7-9 双拼I50b 剪应力图
由上图知双拼I50b最大剪应力为25.66MPa,小于抗剪设计值[τ]=120Mpa,满足规范要求。
2刚度验算

图7-10 双拼I50b 变形云图
由上图可知主梁最大挠度为21.61mm小于 L/200=4875/200=24.375mm,主梁刚度满足规范要求。
3.3 钢棒验算
1钢棒为悬臂结构模型,工字钢紧贴墩壁,故只考虑钢棒受剪及受弯,2个支点截面分担承受上面传来的荷载。

图7-11 钢棒受力模型

图7-12 支点反力基本组合值
2钢棒计算
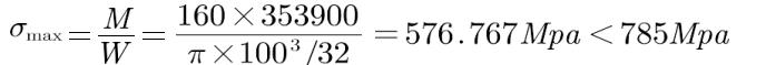
钢棒最大剪应力:

满足规范要求;
钢棒最大弯曲应力:

满足规范要求。
(六)结论
通过以上计算,主梁及分配梁的强度及刚度满足规范要求;钢棒的强度基本符合规范要求。
五、吊装设备起重能力复核计算书
(一)工程概况
ZK7+291/K7+263上龙邦大桥薄壁空心墩涉及起重吊装的有模板单块、混凝土运输吊装、钢筋吊装设备起重能力复核。
(二)主要性能参数
本项目拟采用50T汽车起重机,最大额定总起重量50t,主要技术参数如下表:
50t汽车起重机设备技术参数
|
序号 |
项目 |
数值 |
备注 |
|
|
1 |
工作 性能 参数 |
最大额定总起重量kg |
150000 |
|
|
2 |
基本臂最大起重力矩KN.m |
5100 |
6m幅度 |
|
|
3 |
最长主臂最大起重力矩KN.m |
2310 |
22m幅度 |
|
|
4 |
基本臂最大起升高度 m |
13.5 |
||
|
5 |
主臂最大起升高度 m |
60 |
不考虑吊臂变形,括号内数值为加上加长臂的值 |
|
|
6 |
副臂最大起升高度 m |
78.4 / (86) |
||
|
7 |
工作 速度 |
单绳最大速度(主卷扬)m/min |
115 |
卷筒第五层 |
|
8 |
单绳最大速度(副卷扬)m/min |
76 |
卷筒第三层 |
|
|
9 |
起重臂起臂时间 s |
68 |
||
|
10 |
起重臂伸出时间 s |
480 |
||
|
11 |
最大回转速度 r/min |
1.5 |
||
|
12 |
行驶 参数 |
最高行驶速度 km/h |
75 |
|
|
13 |
最大爬坡度 % |
40 |
||
|
14 |
最小转弯直径 m |
22 |
||
|
15 |
取小离地间隙mm |
290 |
||
|
16 |
排气污染物排放值及烟度限值 |
符合标准规定 |
GB3847-2005GB17691-2005(国III) |
|
|
17 |
百公里油耗 L |
80 |
||
|
18 |
质量 参数 |
行驶状态自重(总质量)kg |
64500 |
|
|
19 |
整车整备质量 kg |
64370 |
||
|
20 |
前轴轴荷 kg |
19600 |
||
|
21 |
后桥轴荷 kg |
35400 |
||
|
22 |
尺寸 参数 |
外形尺寸(长×宽×高)mm |
14990×3000×3950 |
|
|
23 |
支腿纵向距离 m |
7.04 |
||
|
24 |
支腿横向距离 m |
8.5(全伸)、6.5(半伸) |
||
|
25 |
主臂长m |
13~59 |
||
|
26 |
主臂仰角° |
-1.5~80 |
||
|
27 |
副臂长 m |
11 、18.6 |
||
|
28 |
副臂安装角 |
0、 30 |
||
50t吊车参数表(主臂起重性能表)
|
工作幅度(m) |
主臂 |
主臂仰角(°) |
主臂+副臂(m) |
|||||||||
|
1缸伸至100%, 支腿全伸,厕方、后方作业 |
42+9.5 |
42+16 |
||||||||||
|
11.1 |
15 |
18.8 |
24.6 |
3o.4 |
36.2 |
42 |
0° |
30° |
0° |
30° |
||
|
3.0 |
55000 |
40000 |
32000 |
80 |
4500 |
2150 |
2800 |
1000 |
||||
|
3.5 |
50500 |
40000 |
32000 |
78 |
4500 |
2050 |
2600 |
1000 |
||||
|
4.0 |
44500 |
400O0 |
32o00 |
24000 |
76 |
4200 |
1950 |
2300 |
1000 |
|||
|
4.5 |
40000 |
36000 |
31000 |
23000 |
74 |
3800 |
1900 |
2000 |
1000 |
|||
|
5.0 |
36000 |
33000 |
29000 |
21800 |
16000 |
72 |
3500 |
1850 |
1800 |
1000 |
||
|
5.5 |
32000 |
30000 |
27300 |
20600 |
16000 |
12400 |
70 |
3200 |
1800 |
1650 |
1000 |
|
|
6.0 |
29000 |
27500 |
25700 |
19500 |
16000 |
12400 |
68 |
3000 |
1750 |
1550 |
900 |
|
|
6.5 |
26000 |
25500 |
24200 |
15500 |
15500 |
12400 |
66 |
2700 |
1700 |
1450 |
850 |
|
|
7.0 |
24000 |
23500 |
23000 |
17500 |
14600 |
12400 |
9000 |
64 |
2300 |
1650 |
1350 |
800 |
|
7.5 |
22300 |
21900 |
21500 |
16600 |
14000 |
12400 |
9000 |
62 |
2000 |
1600 |
1250 |
750 |
|
8.0 |
20300 |
19700 |
19400 |
15800 |
13300 |
11800 |
9000 |
60 |
1700 |
1350 |
1150 |
700 |
|
9.0 |
15800 |
15300 |
15000 |
14300 |
12200 |
10900 |
9000 |
58 |
1400 |
1100 |
1000 |
650 |
|
10.0 |
12200 |
12000 |
1300o |
11200 |
10000 |
9000 |
56 |
1150 |
850 |
850 |
500 |
|
|
11.0 |
9900 |
9700 |
10700 |
10300 |
9200 |
8300 |
54 |
950 |
650 |
650 |
||
|
12.0 |
8200 |
8o00 |
90o0 |
9700 |
8500 |
7800 |
52 |
750 |
450 |
|||
|
14.0 |
5500 |
6500 |
7150 |
7500 |
6800 |
|||||||
|
16.0 |
3800 |
4800 |
5400 |
5750 |
6000 |
|||||||
|
18.0 |
3550 |
4150 |
4500 |
4750 |
||||||||
|
20.0 |
2600 |
3200 |
3500 |
3750 |
||||||||
|
22.0 |
1850 |
2400 |
2750 |
3000 |
||||||||
|
24.0 |
1800 |
2100 |
2350 |
|||||||||
|
26.0 |
1300 |
1600 |
1850 |
|||||||||
|
28.0 |
850 |
1200 |
1450 |
|||||||||
|
30.0 |
850 |
1050 |
||||||||||
|
32.0 |
750 |
|||||||||||
|
l |
0 |
3.9 |
7.7 |
7.7 |
7.7 |
7.7 |
7.7 |
|||||
|
ll |
0 |
0 |
0 |
5.8 |
11.6 |
17.4 |
23.2 |
|||||
|
倍率 |
12 |
8 |
8 |
6 |
4 |
4 |
3 |
|||||
|
吊钩 |
50吨主吊钩 |
4.5吨副吊钩 |
||||||||||
注:表中“l”栏的数值表示:与之对应的主臂长度工况下,Ⅰ缸伸出的长度;“III”栏的数值表示:与之对应的主臂长度工况下,Ⅱ缸伸出长度的3倍。
(三)吊车绳索检算
吊索拉力:
P拉=QJ/Nsin85°
QJ=K动×G设
钢丝绳破断力:P=P拉×k
其中:P拉—吊索拉力;
QJ—计算载荷;
k动—动载荷系数1.1;
G设—塔机料斗重量为0.25t+1m3混凝土重量2.6t+吊钩和钢丝绳重量0.60t=3.45t;模板长度为2.4M,宽度为3.0M单块重量约0.66t+吊钩和钢丝绳重量0.60t=1.26t,钢筋直径28mm长4.5m按20根重量0.44t+吊钩和钢丝绳重量0.60t=1.04t。
N—吊索分支数,吊塔机料斗、模板、钢筋时为2。
P—钢丝绳破断力;
K—安全系数6;
1.塔机料斗时
P拉=QJ/Nsin85°=1.1×3.45/2sin85°=1.90t
P=P拉×k=1.90×6=11.4t
钢丝绳公称抗拉强度:1700MPa
查钢丝绳参数表选6×37,=65.0mm的钢丝绳;其破断力为266.6t>P=11.4t;故安全。
2.吊模板单块重量时:
P拉=QJ/Nsin85°=1.1×1.26/2sin85°=0.70t
P=P拉×k=0.70×6=4.20t
钢丝绳公称抗拉强度:1700MPa
查钢丝绳参数表选6×37,=65.0mm的钢丝绳;其破断力为266.6t>P=4.20t;故安全。
3.吊钢筋直径28mm长4.5m按20根重量时:
P拉=QJ/Nsin85°=1.1×1.04/2sin85°=0.57t
P=P拉×k=0.57×6=3.42t
钢丝绳公称抗拉强度:1700MPa
查钢丝绳参数表选6×37,=65.0mm的钢丝绳;其破断力为266.6t>P=3.42t;故安全。
(四)吊车稳定性检算
为保证吊车在吊装过程中的稳定,需进行抗倾覆验算,即需使稳定力矩大于倾覆力矩。
1.以塔机料斗为验算对象,查《起重机设计规范》可知:
式中:KG—自重加权系数,取1
KQ—起升荷载加权系数,取1.15
Kw—风动荷载加权系数,取1,因构件尺寸较小,可忽略不计。
MG、MQ、Mw为吊车自重、起升荷载、风动荷载对倾覆边的力矩,KN·m
0,吊车稳定。
2.以吊模板单块重量为验算对象,查《起重机设计规范》可知:
式中:KG—自重加权系数,取1
KQ—起升荷载加权系数,取1.15
Kw—风动荷载加权系数,取1,因构件尺寸较小,可忽略不计。
MG、MQ、Mw为吊车自重、起升荷载、风动荷载对倾覆边的力矩,KN·m
0,吊车稳定。
3.以钢筋直径28mm长4.5m按20根重量为验算对象,查《起重机设计规范》可知:
式中:KG—自重加权系数,取1
KQ—起升荷载加权系数,取1.15
Kw—风动荷载加权系数,取1,因构件尺寸较小,可忽略不计。
MG、MQ、Mw为吊车自重、起升荷载、风动荷载对倾覆边的力矩,KN·m
0,吊车稳定。
六、其他临时结构计算书
(一)塔吊承台天然基础的计算
1.计算依据
1.1《塔式起重机混凝土基础工程技术规程》(JGJ/T 187-2009)。
1.2《塔式起重机混凝土基础工程技术规程》JGJ/T187-2009
1.3《混凝土结构设计规范》GB50010-2010
1.4《建筑桩基技术规范》JGJ94-2008
1.5《建筑地基基础设计规范》GB50007-2011
1.6计算书根据塔吊说明书荷载参数进行验算,要求基础承压必须达到0.2MPa, 否则须打水泥桩。
2.塔机型号C5013(QTZ63)塔式起重机
2.1塔吊技术性能
①塔吊技术性能参数。详见《塔吊技术性能参数表》
表7-2-2-1-30 塔吊技术性能参数表
|
序号 |
主要参数 |
名称C5013(QTZ63) |
单位 |
|
1 |
起重力矩 |
630 |
Kn.m |
|
2 |
最大额定起重量 |
6.0 |
t |
|
3 |
有效工作幅度 |
50 |
m |
|
4 |
最大幅度起重量 |
1.3 |
t |
|
5 |
起升高度 |
独立:40 |
m |
|
附着:140 |
|||
|
6 |
起升速度 |
二倍率:80/40/8.5 |
m/min |
|
四倍率:40/20/4.25 |
|||
|
7 |
变幅速度 |
40/20 |
m/min |
|
8 |
回转速度 |
0.62 |
m/min |
|
9 |
顶升速度 |
0.5 |
m/min |
|
10 |
出厂高度 |
40 |
m |
|
11 |
主肢材料规格 |
160*160*16 |
mm |
|
12 |
标准节尺寸 |
1.6*1.6*2.5 |
m |
|
13 |
标准节重 |
0.766 |
t |
|
14 |
平衡重 |
2.3(5*2.27+1.0) |
t |
|
15 |
最大工作风压 |
250 |
n/平方米 |
2.2塔吊载荷
①塔机基础荷载标准值
a详见《塔吊基础荷载标准值表》
表7-2-2-2-31 塔吊基础荷载标准值表
|
载荷工况 |
水平力 |
垂直力 |
弯矩 |
扭矩 |
|
Fh(KN) |
FV(KN) |
M(KN.m) |
Mn(KN.m) |
|
|
工作工况 |
18.5 |
520 |
1400 |
270 |
|
非工作工况 |
74 |
470 |
1580 |
0 |
②塔机传递至基础荷载标准值
表7-2-2-3-32 塔吊传递至基础荷载标准值表
|
塔机载荷 |
系数 |
自重(高84m) |
最大起重 |
水平 |
竖向 |
倾覆力矩 |
|
G(KN) |
Fkl(KN) |
Fqk(KN) |
Fvk(KN) |
Fk(KN) |
Mk(KN.m) |
|
|
工作状态 |
1.35 |
574.3*1.35 =775.305 |
58.8*1.35 =79.38 |
18.5*1.35 =24.975 |
775.305+79.38 =854.658 |
1400*1.35 =1890 |
|
塔机载荷 |
(KN) |
Fkl’(KN) |
Fqk’(KN) |
Fvk’(KN) |
Fk’(KN) |
Mk’(KN.m) |
|
非工作状态 |
1.35 |
524.3*1.35 =707.805 |
0 |
74*1.35 =99.9 |
574.3*1.35 =775.305 |
1580*1.35 =2138 |
3.地基承载力计算
3.1塔吊基础承台布置
①详见《塔吊基础承台布置表》
表7-2-3-1-33 塔吊基础承台布置表
|
序号 |
项目名称 |
参 数 |
单 位 |
|
1 |
承台边长 |
l=6、b=6 |
m |
|
2 |
承台厚度 |
h=1.5 |
m |
|
3 |
承台混凝土等级 |
C35 |
Mpa |
|
4 |
钢筋混凝土自重 |
YC=26 |
(KN/m3) |
|
5 |
承台上部覆土厚度 |
h’=0 |
m |
|
6 |
承台上部覆土的重度 |
Y’=19 |
(KN/m3) |
|
7 |
承台混凝土保护层厚度 |
δ=50 |
mm |
|
8 |
承台底标高 |
dl=-2.5 |
m |
②计算简图如下:

图7-2-3-1-33 塔吊基础布置示意图
3.2塔基在独立状态时,作用于基础的荷载应包括塔机作用于基础顶的:①竖向荷载标准值(Fk);
②水平荷载标准值(Fvk);
③倾覆力矩(包括塔机自重、起重荷载、风荷载等引起的力矩)荷载标准值(Mk);
④扭矩荷载标准值(Tk);
⑤以及基础及其上土的自重荷载标准值(Gk)。
3.3矩形基础地基承载力计算应符合下列规定:
①基础底面压力应符合:
a当轴心荷载作用时:pk≤fa=200kpa
式中:pk ------相当于荷载效应便准组合时,基础底面处的平均压力值;
fa -------修正后的地基承载力特征值。
b当偏心荷载作用时,除符合上式外,尚应符合下列要求:
pkmax≤1.2fa=1.2×200=240kpa
式中:pkmax -------相应于荷载效应标准组合时,基础底面边缘的最大压力值。
3.4基础底面的压力可按下列公式确定:
①承台及其上土的自重荷载标准值:
承台上土取1.35 kN;
Gk=bl(hYC+h'Y')
式中:
Gk---------自重荷载标准值;
Gk=6×6×(1.5×26+0×19)×1.35=1895.40Kn;
②当轴心荷载作用时:
pk=(Fk+Gk)/bl
=(854.658+1895.40)/(6×6)=76.391kn/m2≤240kpa
故,符合要求。
式中:Fk -----塔机作用于基础顶面的竖向荷载标准值;
Gk -----基础及其上土的自重标准值;
b-------矩形基础底面的短边长度;
l--------矩形基础底面的长边长度。
③当偏心荷载作用时:pkmax=(Fk+Gk)/bl+(Mk+Fvkh)/W
=(854.658+1895.40)/(6 × 6)+(1890+24.975 × 1.5)/36
=129.93kn/m2≤1.2fa
W=(lb2)/6=(6×62)/6=36kn/m2
符合要求。
式中:Mk-------相应于荷载效应标准组合时,作用于矩形基础顶面短边方向的力矩值;
Fvk-------相应于荷载效应标准组合时,作用于矩形基础顶面短边方向的水平荷载值;
h-------基础的高度;
W--------基础底面的抵抗矩。
④当偏心距e>b/6时,pmax应按下式计算:
pmax=2(Fk+Gk)/3la
=2×(854.658+1895.40)/(3×6×2.5)=122.23kn/m2≤1.2fa
式中:a-----合力作用点至基础底面最大压力边缘的距离。
3.4偏心距e按式e=( Mk+Fkvh)/( Fk+Gk)计算,并应符合式e≤b/4。
e=(1890+24.975×1.5)/(854.658+1895.40)
=0.7m
≤6/4=1.5m
0.7m≤1.5m
符合要求。
4.地基变形计算
4.1当地基主要受力层的承载力特征值(fak)不小于130kPa或小于130kPa但有地区经验,且黏性土的状态不低于可塑(液性指数Il不大于0.75)、沙土的密实度不低于稍密时,可不进行塔机基础的天然地基变形验算,其他塔机基础的天然地基均应进行变形验算。
注:地基主要受力层指塔基板式基础下为1.5b(b为基础底面宽度),十字形基础下为3b(b为其中任一条形基础的地面宽度),且厚度不小于5m范围内的地基土层。
因fak=200kpa,故此时可不进行塔机基础的天然地基变形验算,略。
4.2当塔机基础符合下列情况之一时,应进行地基变形验算:
①基础附近地面有堆载可能引起地基产生过多的不均匀沉降;
②地基持力层下有软弱下卧层或厚度较大的填土;
4.3基础下的地基变形计算可按现行国家标准《建筑地基基础设计规范》GB5007的规定执行。
该情况下不需要验算,略。
5.塔机风荷载计算
5.1风荷载标准值计算
①垂直于塔机表面上的风荷载标准值(wk),应按下式计算:
Wk=0.8βzμsμzwo=0.8×1.65×1.95×1.29×0.45=1.49kn/m2
式中:wk-------风荷载标准值;
βz----风振系数;
μs----风荷载体型系数;
μz----风压等效高度变化系数;
wo-----基本风压(kn/m2);
②塔机的风振系数可根据不同的基本风压(wo)和地面粗糙度类别及塔机的计算高度(H)来确定。
经查表,塔机风振系数为:1.65。
③塔机的风荷载体型系数(μs),当塔身为型钢或方钢管杆件的桁架时,取1.95;当塔身为圆钢管杆件的桁架时,可根据不同的基本风压(wo)和风压等效高度变化系数(μz)查表确定。
取1.95。
④塔机的风压高度变化系数,可采用等效高度变化系数(μz)将风荷载转化为等效布线荷载,当塔机独立计算高度(H)为30、40、45、50m,根据不同的地面粗糙程度,可按表确定。
经查表,塔机风压等效高度变化系数为:1.29。
⑤当风沿着塔机塔身方形截面的对角线方向吹时(如下图),风荷载应乘以风向系数(α),即α取为风向着方形截面任一边作用时的1.2倍。

⑥塔身前后片桁架的平均充实率(α0),对塔身无加强标准节的塔机宜取0.35;对塔身的加强标准节占爬升架以下一半的塔机宜取0.4;加强标准节处于中间值时可按线性插入法取值。
5.2独立塔机工作状态时风荷载计算
①工作状态时塔机风荷载的等效均布线荷载标准值应按下列公式计算:
qsk=wkA/H=0.66×45.44/71=0.4224kn/m
wk=0.8βzμsμzwo=0.8×1.65×1.95×1.29×0.2=0.66kn/m2
A=α0BH=0.4×1.60×71=45.44m2
式中:qsk ---塔机工作状态时,风荷载的等效均布线荷载标准值;
wo ---塔机工作状态时,基本风压值取0.2kh/m2;
A---塔身单片桁架结构迎风面积(m2);
α0 ---塔身前后片桁架的平均充实率;取0.4。
B---塔身桁架结构宽度(m);
H---塔机独立状态下计算高度(m)。
②工作状态时,作用在塔机上风荷载的水平合力标准值应按下式计算:
Fsk=qsk•H=0.4224×71=29.99kn
式中:Fsk---非工作状态时,作用在塔机上风荷载的水平合力标准值(kn)。
③非工作状态时,风荷载作用在基础顶面上的力矩标准值应按下式计算:
Msk=0.5Fsk•H=0.5×29.99×71=1064.645kn•m
式中:风荷载作用在基础顶面上的力矩标准值(kn•m),应按起重力矩同方向计算。
5.3独立塔机非工作状态时风荷载计算
①非工作状态时塔机风荷载的等效均布线荷载标准值应按下列公式计算:
q′sk=w′kA/H=1.49×45.44/71=0.9536kn/m
w′k=0.8βzμsμzw′=0.8×1.65×1.95×1.29×0.45=1.49 kn/m2
A=α0BH=0.4×1.6×71=45.44m2
式中:q′sk -----非工作状态时,风荷载的等效均布线荷载标准值(kn/m);
w′k ----非工作状态时,风荷载标准值(kn/m2);
w′o ----非工作状态时的基本风压(kn/m2),应按当地50年一遇的风压取用,且不小于0.35。
②非工作状态时,作用在塔机上风荷载的水平合力标准值应按下式计算:
F′sk=q′sk•H=0.9536×71=67.707kn
式中:F′sk ----非工作状态时,作用在塔机上风荷载的水平合力标准值(kn)。
③非工作状态时,风荷载作用在基础顶面上的力矩标准值应按下式计算:
M′sk=0.5F′sk•H=0.5×67.707×71=2403.599kn•m
式中:风荷载作用在基础顶面上的力矩标准值(kn•m),应按从平衡臂吹向起重臂计算。
七、液压自爬模计算
本方案液压爬模系统,计算书及相关产品安装使用说明书均由厂家提供,作为本方案附件使用。