一、SEP、SEPS的微观结构
SEPS的英文全称是Styrene-ethylene/propylene-styrene block copolymer即苯乙烯-乙烯/丙烯-苯乙烯嵌段共聚物,是由苯乙烯-异戊二烯聚合物经选择加氢而得的产品,选择加氢是指将聚合物中的共轭二烯烃嵌段或链节中的双键进行饱和,而苯乙烯链节的芳环不加氢,简称为S结构。异戊二烯嵌段或链节的双键被饱和后形成乙烯-丙烯交替结构,简称为EP结构。因此通常将氢化苯乙烯-异戊二烯聚合物叫做SEPS。

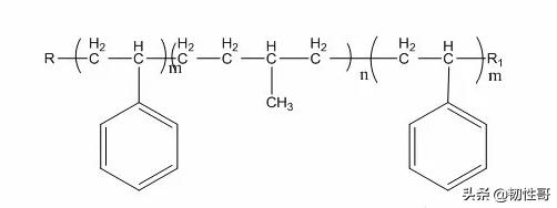
图1:SEPS化学结构式
其中m=50~400 n=50~5000
SEPS是嵌段结构,而如果全二嵌段结构的话,就是Styrene-ethylene/propylene苯乙烯-乙烯/丙烯嵌段共聚物,也就是我们常说的SEP。二嵌段性质和三嵌段完全不一样,所以应用也不一样,二嵌段并没有弹性和强度,一般改善液体粘度做油膏使用。
猜想:因为A-B这个二嵌段的结构,使得苯乙烯成为物理交联点困难,导致SEP耐高温性非常差,所以,如果想作为改性弹性体使用,需要SEP/SEPS并用。

图2:SEP化学结构式
其中m=50~400 n=100~200
二、SEP、SEPS性质及应用
SEP/SEPS是以苯乙烯为塑料段,分散于聚乙烯-丙烯橡胶段中的两相微观不相容分离体系。在加工前,聚苯乙烯嵌段聚集成硬区。在加工过程中受加热和剪切力的作用,聚苯乙烯嵌段开始变软并且可以流动。当冷却下来时,聚苯乙烯嵌段重排并且变硬。锁定橡胶网状结构。这种物理现象提供了SEPS 的高拉伸强度和弹性。 如果以两嵌段的苯乙烯—异戊二烯聚合物(SI)经现在加氢则得到SEP,SEP的分散相依然是聚苯乙烯,但是分子链的首端或末端无聚苯乙烯硬段微区,因此在聚合物流动或拉伸的过程中可以将其橡胶软段较为容易的拉出来,赋予了聚合物一些特殊的应用性能。

氢化的聚异戊二烯产品不像氢化的聚丁二烯那样,它有较短的甲基单元系列,因此不会结晶。EP橡胶段中没有结晶,所以SEPS比部分结晶的SEBS更柔软,SEPS的弹性和滞后行为都比相对应的SEBS更好;当用油作为橡胶段的增塑剂时,以SEPS为基础胶的热塑性弹性体的柔韧性得到进一步加强。氢化聚异戊二烯聚合物固有的特性应该能使以SEPS为基础的苯乙烯热塑性弹性体具有这种超强的柔韧性和高弹性。
来源:厦门三江,韧客团队整理
声明:凡注明“来源:XXX”的文/图等稿件,是本头条号出于传递更多信息及方便产业探讨之目的,并不意味着赞同其观点或证实其内容的真实性,文章内容仅供参考。如有侵权,请联系我们删除。凡文首注明作者的文/图等稿件,系本头条号原创,如需转载,请获得本头条号授权。