“房县黄酒”源远流长,古称“封疆御酒”、“帝封皇酒”。据史料记载,“房陵黄酒”早在公元前827年西 周时期已成为“封疆御
酒”,比最早产于公元前492年越王勾践时期的绍兴黄酒更悠久。

清乾隆53年编撰的《房县志》载,“房县人皆爱喝黄酒,一人喝十几碗不算稀奇。大多喝酒后皆不食饭,有 至晚喝到天明者。”
千百年来,房县人不论贫富贵贱,人人爱饮黄酒,家家会酿黄酒,黄酒成为房县人居家过生活不可或缺的平常物。

近年来,房县结合资源禀赋,倾力打造百亿黄酒及发酵产业。但长期以来,房县黄酒的功效、喝房县黄酒的好处民间众说纷纭,莫衷一是,一直没有科学、权威的解释。
时光荏苒 岁月如梭
今天,小编请“国字号”研究团队——中国食品发酵工业研究院&发酵酒品质与安全国家级国际联合研究中心,薛洁教授的专家团队通过现代科学仪器对房县黄酒进行分析解码,让科学来回答【喝房县黄酒的好处】

中国食品发酵工业研究院
是中国轻工集团公司所属的全资子公司,是北京市科委认定的高新技术企业,是科学技术部、国务院国资委和中华全国总工会认定的“国家第三批创新型试点企业”;是国家级“国际科技合作基地”。

发酵酒品质与安全
国家级国际联合研究中心
是2013年国家认定批准的我国发酵酒领域的国家级国际联合研究中心。中心以中国食品发酵工业研究院为平台,结合与国外众多科研机构合作为基础,外联国际先进酿酒技术,内接国内龙头酿酒企业,依托研究院良好的科研基础和技术优势,吸引和凝聚国际优秀酿酒人才,采用原始创新、集成创新和引进消化吸收再创新的研发思路,以国际的视野及水准,积极开展科技合作,搭建酿酒科技产学研结合及成果转移平台。
薛洁教授带领专家团队多次深入房县,
进村入户,
对房县黄酒传统生产加工的原材料、全产品进行取样,
通过先进的科学仪器对房县黄酒进行深层次科学分析,
结果如下
↓↓↓
房县黄酒的生理功效
黄酒中含有丰富的生物活性物质,如降低血压和增强记忆γ-氨基丁酸,抗氧化抗衰老的矿物质硒,及吸收性良好的功能性多肽,其中黄酒中多肽含量是啤酒和葡萄酒的30倍,被称为“二十一世纪健康食品”。
以下高能,
一大波专业术语来袭,

↓↓↓
房县黄酒
生物活性物质图

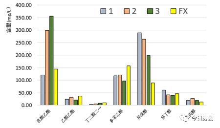
房县黄酒与绍兴、上海等传统黄酒不同,具有独特的地域性和唯一性:
从口感上
房县黄酒米香浓郁,酒体甘冽,清爽,沁人心脾;
从化学分析上
房县黄酒除具有高糖、高酸、高固形物的“三高”特点外,其有玫瑰花香的β-苯乙醇是其他黄酒的4倍,而引起上头的高级醇不足其他黄酒的一半;
从小曲微生物群落多样性
房县小曲微生物种类和数量丰富,群落结构与其他黄酒曲的差异较大,具有极强的地域独特性;
发酵工艺上
房县黄酒如此高浓酿造的甜型酒在世界上罕见的。

科学告诉我们,
房县黄酒具有如此之高的营养价值,
那么,这些营养如何才能正确被人体吸收呢?

在此,小编告诉大家,
专家团队除了发现房县黄酒中的各种生物活性物质外,
还依据房县黄酒所含生物活性物质的特性,
总结出房县黄酒的科学饮用方法
↓↓↓

众所周知,
房县黄酒是用当地特产小曲、当地出产糯米和当地优质矿泉水、地下水,
在当地独特的气候条件下酿制而成,
房县黄酒不仅是国家地理标志保护产品,
而且房县黄酒制作技艺还被列为湖北省非物质文化遗产。

今天,
现代科学回答了喝房县黄酒的好处,
大家还等什么,
一起来啊,放心大胆的喝喝喝!!!
以上,The end。

编辑 | 伊始